Sobre este All Math Formulas
Capa 1500, mais de matemática fórmulas com diagram.Easy para entender e completamente grátis
ALL Maths Fórmulas cobre todos e cada um de matemática fórmulas como fórmulas da álgebra, fórmulas de geometria, fórmulas Geometria Analítica, fórmulas de derivação, fórmulas de integração, fórmulas trigonometria, transformada de Laplace fórmulas, fórmulas de probabilidade, que ajudarão a todos os alunos e especialmente aqueles que estão se preparando para exames competitivos . .
álgebra fórmulas matemáticas
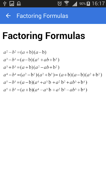
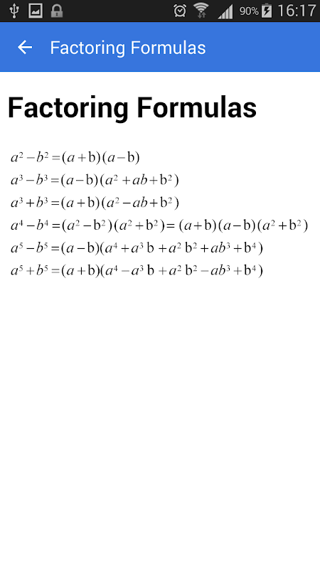
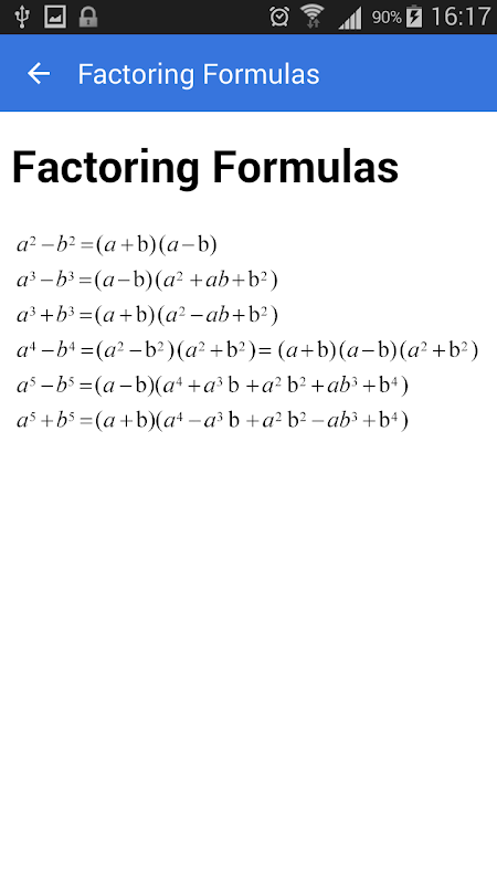
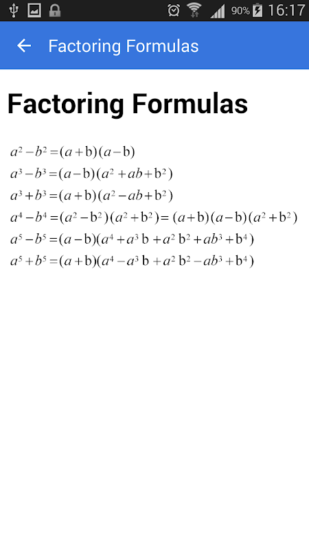
- fórmulas de Factoring
- fórmulas de produtos
- fórmula Raízes
Powers fórmula -
- fórmula logarítmica
- Equações úteis
- Número complexo
- teorema binomial
Geometria fórmulas matemáticas
- Cone
- Cilindro
- Triângulo isósceles
- Quadrado
- Sphere
- Retângulo
- Rhombus
- Parallelogram
- Trapézio
fórmulas Analytical Geometry Math
- 2-D sistema de coordenadas
- Círculo
- Hyperbola
- Ellipse
- Parabola
Derivação fórmulas matemáticas
- Limites de fórmula
- Propriedades de derivado
- fórmula geral derivado
- Funções trigonométricas
- funções trigonométricas inversas
- Funções hiperbólicas
- Funções hiperbólicas inversas
Integração fórmulas matemáticas
- Propriedades da Integração
- Integração de funções racionais
- Integração de funções trigonométricas
- Integração de funções hiperbólicas
- Integração de Exponencial e log funções
trigonometria fórmulas matemáticas
- Noções básicas de trigonometria
- fórmula geral Trigonometria
- Sine, regra Cosine
- Tabela de Ângulo
- transformação Angle
- / Duplo / Multiple fórmula ângulo Meio
- Soma de funções
- produto de funções
- Poderes de funções
- A fórmula de Euler
- Allied ângulos mesa
- identidades ângulo negativo
Laplace transformar fórmulas matemáticas
- Propriedades da transformada de Laplace
- Funções de Laplace
fórmulas matemáticas de Fourier
- Séries de Fourier
- transformada de Fourier operações
- Tabela de transformada de Fourier
fórmulas Série Matemática
- série Aritmética
- série geométrica
- série finita
- série binomial
- expansões em séries de potência
Os métodos numéricos fórmulas matemáticas
- Lagrange, de Newton interpolação
- diferença para trás / frente de Newton
- Integração numérica
- Raízes da equação
Vector cálculo fórmulas matemáticas
- identidades vetoriais
Probabilidade fórmulas matemáticas
- Noções básicas de probabilidade
- Expectativa
- Variação
- Distribuições
- Permutations
- Combinações
fórmulas Gamma Matemática beta
- funções Beta
- funções Gamma
- relação Beta-gama
Z - Transform
- Propriedades de z transformar
- Alguns pares comuns
Novidades em 31 mais recente
Informações sobre All Math Formulas APK
Versões Antigas de All Math Formulas
All Math Formulas 31
All Math Formulas 4.0
All Math Formulas 3.8
All Math Formulas 16
Baixar de Forma Rápida e Segura via APKPure App
Um clique para instalar arquivos XAPK/APK no Android!




