Informazioni su All Math Formulas
Coprire 1500 Plus matematica formule con diagram.Easy per capire e completamente gratuito
ALL matematica Formule copre tutti e ciascuno formule matematiche, come le formule Algebra, formule Geometria, formule geometria analitica, formule di derivazione, formule di integrazione, formule trigonometriche, trasformata di Laplace formule, le formule di probabilità, che vi aiuterà a tutti gli studenti e specialmente coloro che si stanno preparando per gli esami competitivi . .
formule Algebra matematica
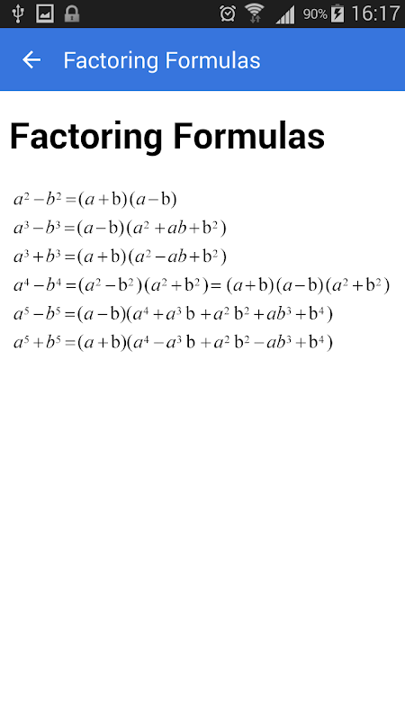
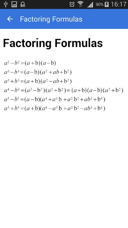
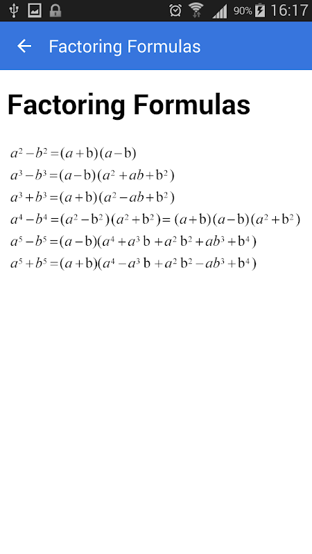
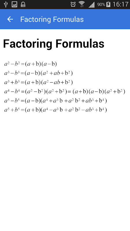
- formule di factoring
- formule di prodotto
- Roots formula
- Poteri formula
- formula logaritmica
- Equazioni Utili
- Numero complesso
- Teorema binomiale
formule Geometria matematica
- Cono
- Cilindro
- Triangolo isoscele
- Piazza
- Sphere
- Rettangolo
- Rhombus
- parallelogramma
- trapezoidale
formule analitica geometria matematica
- sistema 2-D coordinate
- Circle
- Iperbole
- Ellipse
- Parabola
formule di derivazione matematica
- Limiti formula
- Immobili di derivato
- Formula generale derivato
- Funzioni trigonometriche
- funzioni trigonometriche inverse
- funzioni iperboliche
- funzioni iperboliche inverse
formule di integrazione matematica
- Immobili di integrazione
- Integrazione delle funzioni razionali
- Integrazione delle funzioni trigonometriche
- Integrazione di funzioni iperboliche
- Integrazione di esponenziali e log funzioni
formule di trigonometria Maths
- Nozioni di base di trigonometria
- Formula generale Trigonometria
- Seno, coseno regola
- Tabella di Angle
- trasformazione Angle
- Half / Doppia / Multipla formula angolo
- somma di funzioni
- Prodotto di funzioni
- Poteri di funzioni
- formula di Eulero
- Allied angoli tavolo
- identità angolo negativo
Trasformata di Laplace formule matematiche
- Immobili di trasformata di Laplace
- Funzioni di trasformata di Laplace
formule di Fourier Maths
- serie di Fourier
- trasformata di Fourier operazioni
- Tabella di trasformata di Fourier
formule Serie Maths
- Serie Aritmetica
- Serie geometrica
- serie finita
- Serie binomiale
- sviluppo in serie di potenza
Metodi numerici formule matematiche
- Lagrange, interpolazione di Newton
- differenza avanti / indietro di Newton
- Integrazione numerica
- Radici dell'equazione
formule matematiche calcolo vettoriale
- identità vettore
formule matematiche di probabilità
- Nozioni di base di probabilità
- L'attesa
- Varianza
- Distribuzioni
- permutazioni
- Combinazioni
formule Gamma Maths Beta
- Funzioni Beta
- funzioni gamma
- relazione Beta-gamma
Z - Trasforma
- Immobili di Z- trasformano
- Alcune coppie comuni
What's new in the latest 31
Informazioni sull'APK All Math Formulas
Vecchie versioni di All Math Formulas
All Math Formulas 31
All Math Formulas 4.0
All Math Formulas 3.8
All Math Formulas 16
Download super veloce e sicuro tramite l'app APKPure
Basta un clic per installare i file XAPK/APK su Android!




