Acerca del All Math Formulas
Cubierta de 1500, más de matemáticas con fórmulas diagram.Easy para entender y completamente libre
TODO matemáticas Fórmulas cubre todos y cada uno fórmulas matemáticas como fórmulas de álgebra, las fórmulas de la geometría, fórmulas Geometría Analítica, fórmulas de derivación, fórmulas de integración, fórmulas de trigonometría, transformada de Laplace fórmulas, fórmulas de probabilidad, que ayudarán a todos los estudiantes y especialmente los que se preparan para los exámenes competitivos . .
fórmulas matemáticas Algebra
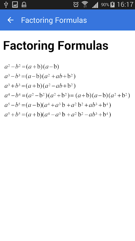
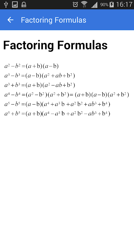
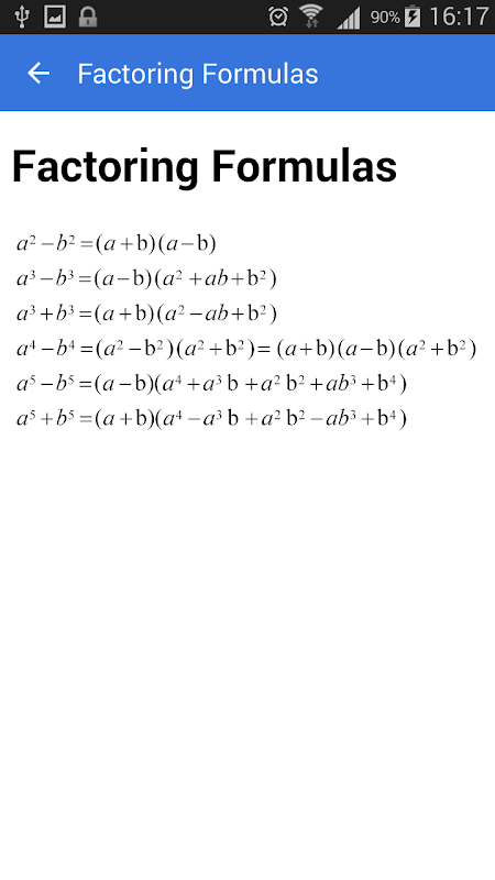
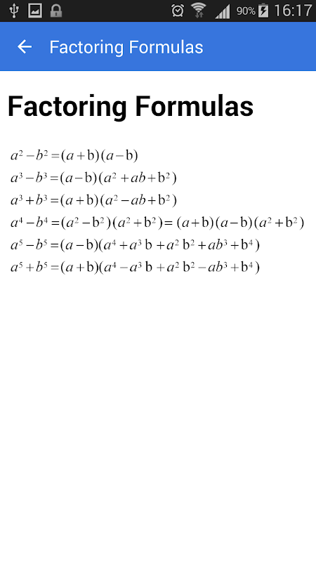
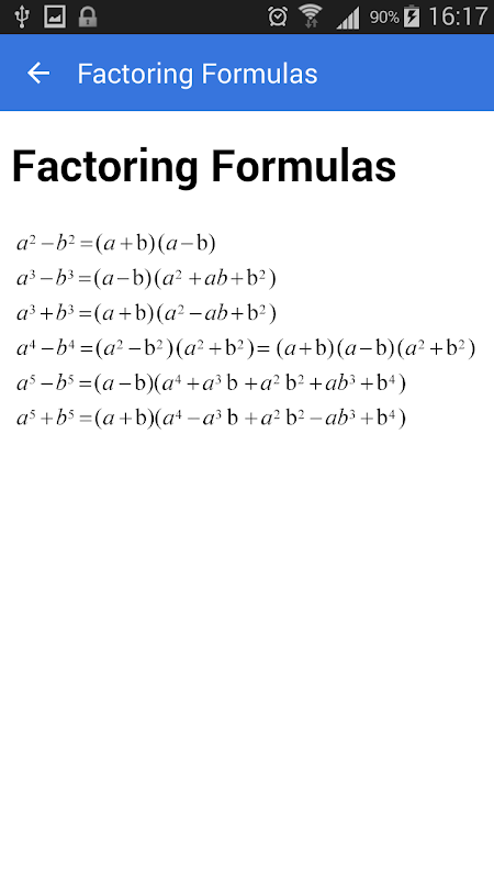
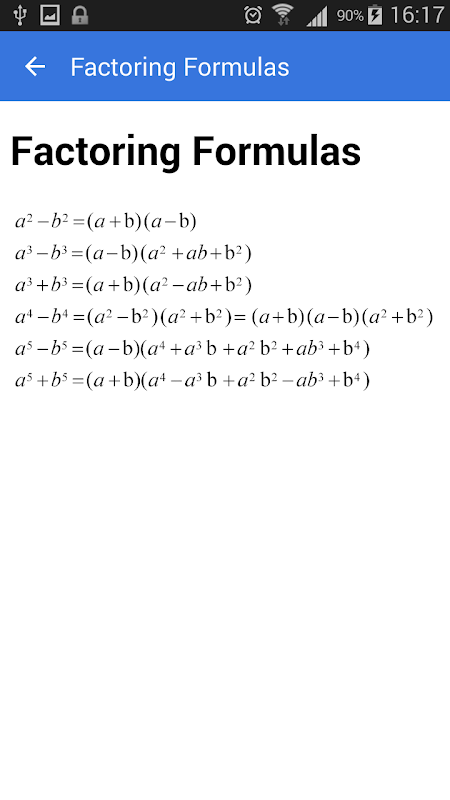
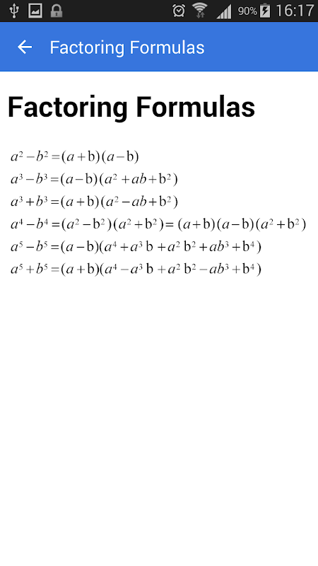
- fórmulas Factoring
- fórmulas de producto
- fórmula Roots
fórmula Powers -
- fórmula logarítmica
- ecuaciones útiles
- Número complejo
- teorema del binomio
fórmulas de la geometría Maths
- Cono
- Cilindro
- Triángulo isósceles
- Cuadrado
- Esfera
- Rectángulo
- Rombo
- paralelogramo
- Trapecio
fórmulas Geometría Analítica Maths
- 2-D sistema de coordenadas
- Circulo
- hipérbola
- Elipse
- Parábola
fórmulas Derivación Maths
- fórmula Límites
- Propiedades de derivado de
- fórmula general derivado
- Funciones trigonométricas
- funciones trigonométricas inversas
- Las funciones hiperbólicas
- Las funciones hiperbólicas inversas
fórmulas de integración Maths
- Propiedades de Integración
- Integración de funciones racionales
- Integración de funciones trigonométricas
- Integración de las funciones hiperbólicas
- Integración de las funciones exponenciales y de registro
fórmulas trigonometría Maths
- Conceptos básicos de la trigonometría
- La fórmula general trigonometría
- Seno, Coseno regla
- Tabla de Angle
- Ángulo de transformación
- Media / doble / fórmula ángulo múltiple
- Suma de funciones
- Producto de funciones
- Competencia de funciones
- la fórmula de Euler
- Allied ángulos de mesa
- las identidades de ángulo negativo
Transformada de Laplace fórmulas matemáticas
- Propiedades de la transformada de Laplace
- Funciones de la transformada de Laplace
fórmulas Fourier Maths
- Series de Fourier
- las operaciones de transformación de Fourier
- Tabla de transformada de Fourier
fórmulas matemáticas serie
- series aritméticas
- Series geométricas
- serie finita
- serie binomial
- desarrollos en serie de potencia
Métodos numéricos fórmulas matemáticas
- Lagrange, interpolación de Newton
- Diferencia de retroceso / avance de Newton
- Integracion numerica
- Las raíces de la ecuación
cálculo vectorial fórmulas matemáticas
- identidades vectoriales
De probabilidad fórmulas matemáticas
- Fundamentos de la probabilidad
- Expectativa
- varianza
- Distribuciones
- Las permutaciones
- Combinaciones
Beta Gamma fórmulas matemáticas
- Funciones Beta
- Funciones Gamma
- relación de beta-gamma
Z - Transformar
- Propiedades de z transforman
- Algunos pares comunes
Novedades más recientes 31
Información de All Math Formulas APK
Versiones Antiguas de All Math Formulas
All Math Formulas 31
All Math Formulas 4.0
All Math Formulas 3.8
All Math Formulas 16
Descarga rápida y segura a través de APKPure App
¡Un clic para instalar archivos XAPK/APK en Android!




