關於All Math Formulas
與diagram.Easy蓋1500加數學公式來理解並完全免費
所有的數學公式涵蓋了每一個數學公式像代數公式,幾何公式,解析幾何公式,推導公式,集成式,三角式,拉普拉斯變換公式,概率公式,這將幫助所有的學生和特別是那些誰正準備競爭考試。 。
代數公式數學
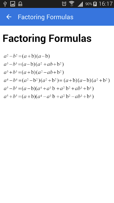
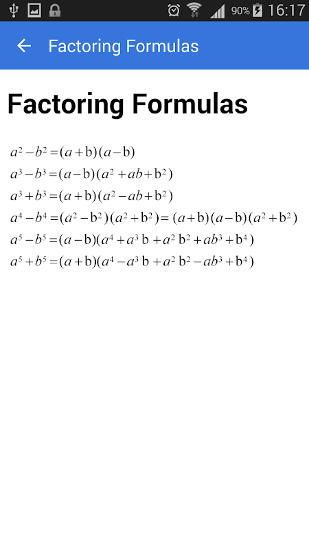
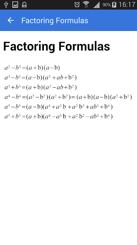
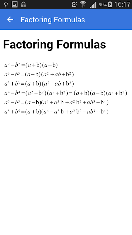
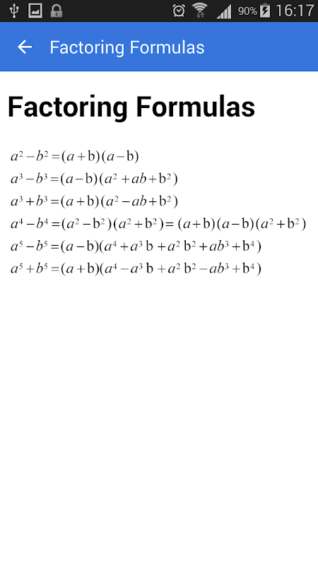
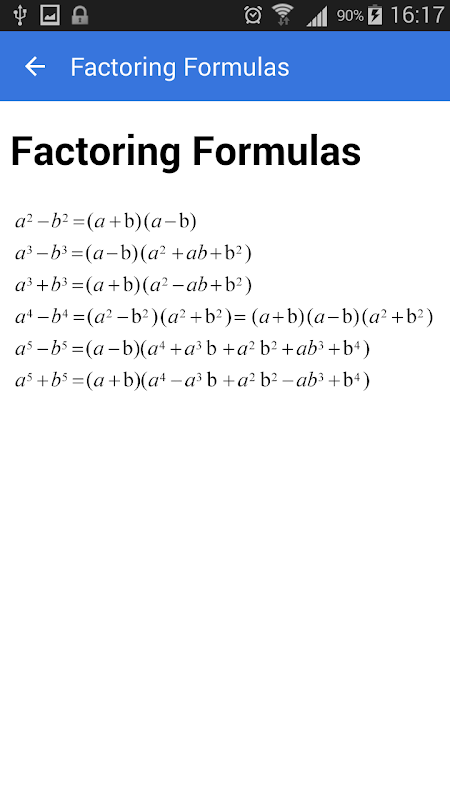
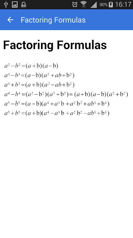
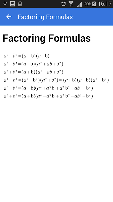
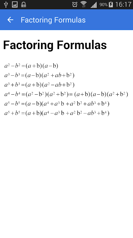
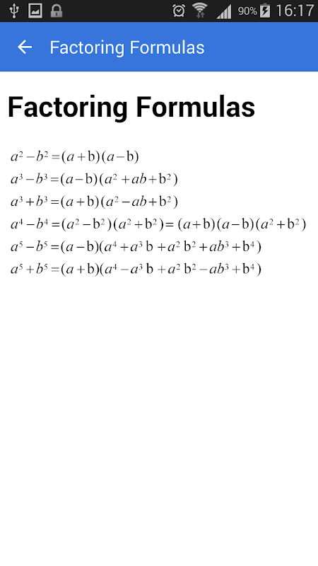
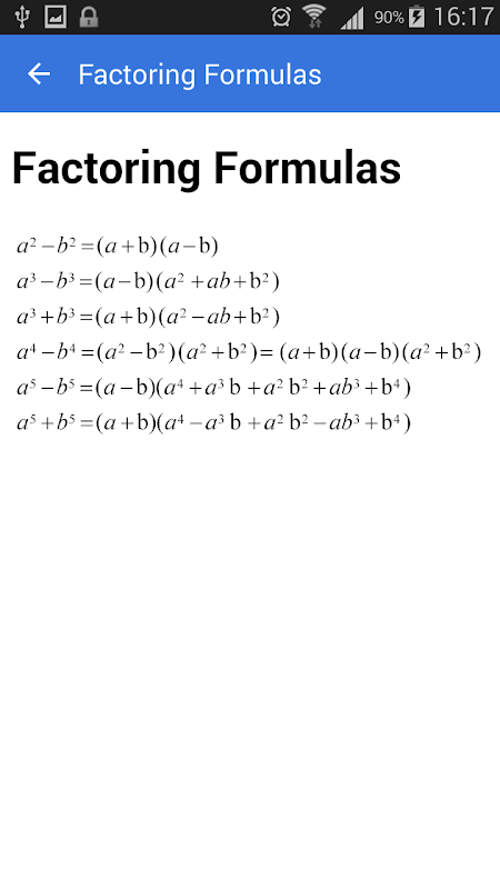
- 保理公式
- 產品配方
- 羅茨式
- 國式
- 對數式
- 有用公式
- 複數
- 二項式定理
幾何數學公式
- 錐
- 圓筒
- 等腰三角形
- 廣場
- 球
- 長方形
- 菱形
- 平行四邊形
- 梯形
解析幾何數學公式
- 2-D坐標系統
- 圈
- 雙曲線
- 橢圓形
- 拋物線
推導數學公式
- 限制公式
- 的衍生屬性
- 一般衍生物式
- 三角函數
- 反三角函數
- 雙曲線函數
- 反雙曲函數
整合數學公式
- 集成的特性
- 合理的功能整合
- 三角函數整合
- 雙曲線函數的積分
- 和日誌指數的集成功能
三角數學公式
- 三角的基礎知識
- 一般三角公式
- 正弦,餘弦規則
- 角度表
- 角度變換
- 半/雙/多角度式
- 功能總和
- 功能產品
- 功能的權力
- 歐拉公式
- 盟軍角度表
- 負角身份
拉普拉斯變換公式數學
- 拉普拉斯變換屬性
- 拉普拉斯變換功能
傅立葉數學公式
- 傅立葉級數
- 傅立葉變換操作
- 傅立葉變換表
系列數學公式
- 等差數列
- 幾何級數
- 有限系列
- 二項系列
- Power系列擴展
數值方法數學公式
- 拉格朗日,牛頓插值
- 牛頓的前進/後退的區別
- 數值積分
- 方程的根
矢量微積分數學公式
- 矢量標識
概率數學公式
- 概率的基礎知識
- 展望
- 方差
- 分佈
- 排列組合
- 組合
貝塔伽瑪數學公式
- 測試版功能
- 伽瑪功能
- β-γ的關係
ž - 變換
- 性能Z-變換
- 一些常見的對




