O All Math Formulas
Okładka 1500 oraz matematyki wzory z diagram.Easy zrozumieć i całkowicie za darmo
ALL Maths Formuły obejmuje każdy formuł matematycznych takich formuł algebry wzorach geometrii wzorach analityczna geometria wzorach derywatyzcja formuł integracyjnych, wzorach trygonometrii, Laplace przekształcić formuły, formuły prawdopodobieństwo, że pomoże wszystkim studentom i specjalnie tych, którzy przygotowują się do konkurencyjnych egzaminów , ,
Wzory algebra matematyka
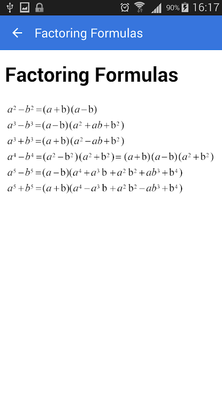
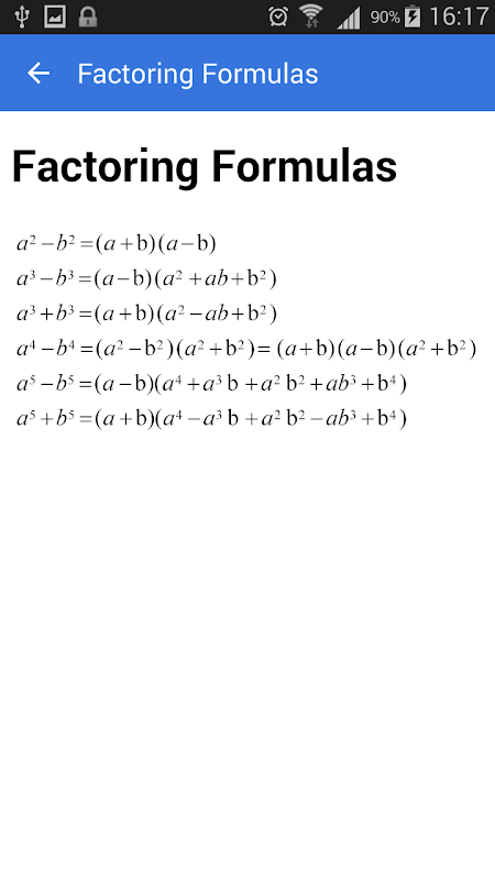
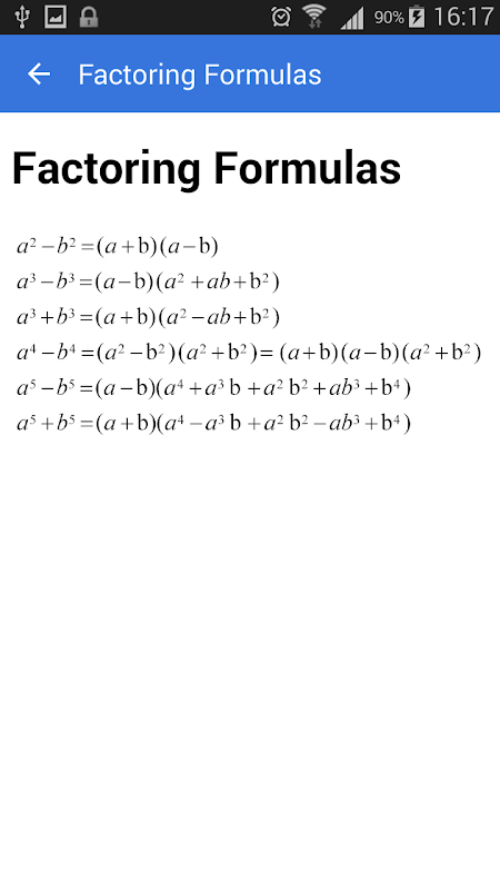
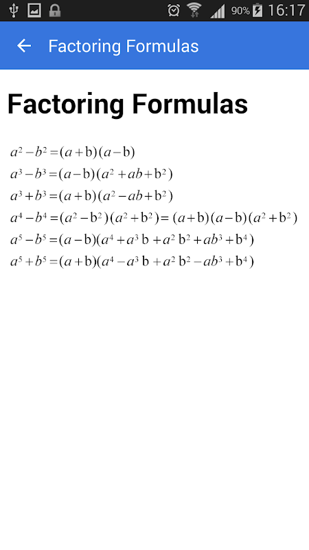
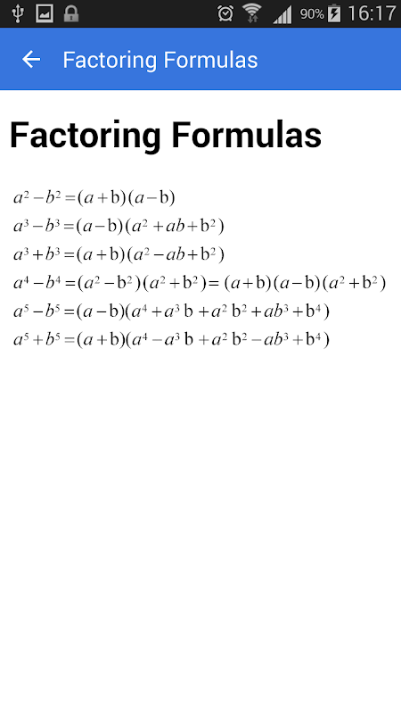
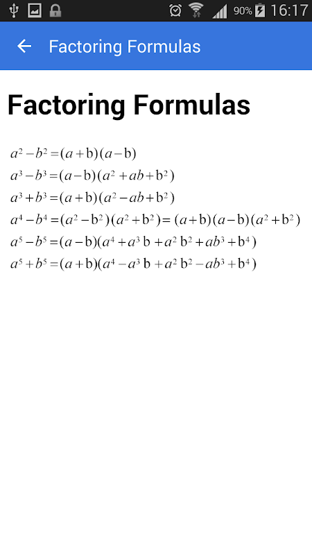
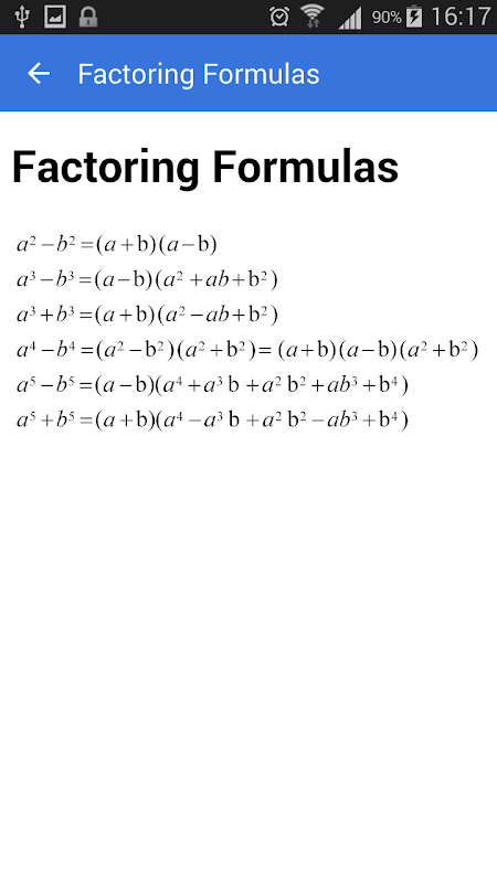
- Preparaty faktoringowe
- formuły produktu
- wzór Korzenie
Wzór moc -
- wzór logarytmiczne
- Przydatne równania
- Liczba zespolona
- Twierdzenie Dwumianowy
Wzory geometria matematyka
- Stożek
- Cylinder
- Trójkąt równoramienny
- Kwadrat
- Kula
- prostokątna
- Romb
- Równoległobok
- Trapez
Geometria analityczna formuły Matematyka
- System 2-D współrzędna
- Okrąg
- Hiperbola
- Elipsa
- parabola
Wyprowadzenie formuły Matematyka
- wzór Granice
- Właściwości pochodną
- wzór ogólny pochodną
- Funkcje trygonometryczne
- funkcje trygonometryczne Inverse
- funkcje hiperboliczne
- funkcje hiperboliczne odwrotne
Wzory integracja Maths
- Właściwości Integracji
- Integracja funkcji wymiernych
- Integracja funkcji trygonometrycznych
- Integracja funkcji hiperbolicznych
- funkcje integracyjne wykładniczego i dziennika
Matematyka formuły trygonometrii
- Podstawy trygonometrii
- Ogólny wzór trygonometryczne
- sinus, cosinus reguła
- Tabela kąt
- transformacja Angle
- / Double / Multiple formuła kąt Połowa
- Suma funkcji
- Produkt funkcji
- Uprawnienia funkcji
- wzoru Eulera
- Allied kąty stół
- ujemny kąt tożsamości
Transformata Laplace'a formuł matematyki
- Własności transformaty Laplace'a
- Funkcje transformaty Laplace'a
Wzory Fouriera Maths
- Szereg Fouriera
- transformaty Fouriera operacji
- Tabela Fouriera
Seria Matematyka formuły
- seria arytmetyczny
- Geometria serii
- seria skończonych
- Dwumianowy seria
- rozwinięcia szeregu potęgowego
Metody numeryczne wzory Maths
- Lagrange, newtona interpolacja
- do przodu / do tyłu różnica Newtona
- integracja liczbowa
- Korzenie równaniem
Wektor nazębnego formuły matematyki
- tożsamości wektorowej
Prawdopodobieństwo formuły matematyki
- Podstawy prawdopodobieństwa
- Oczekiwanie
- wariancja
- Dystrybucje
- Permutacje
- Kombinacje
Beta Gamma formuły Matematyka
- funkcje beta
- funkcje gamma
- beta-gamma stosunek
Z - Transform
- Własności transformaty z-
- Niektóre typowe pary
What's new in the latest 31
Informacje All Math Formulas APK
Stare wersje All Math Formulas
All Math Formulas 31
All Math Formulas 4.0
All Math Formulas 3.8
All Math Formulas 16
Superszybkie i bezpieczne pobieranie za pośrednictwem aplikacji APKPure
Jedno kliknięcie, aby zainstalować pliki XAPK/APK na Androidzie!




