Giới thiệu về All Math Formulas
Bìa 1500 cộng với công thức toán học với diagram.Easy hiểu và hoàn toàn miễn phí
TẤT CẢ Toán Công thức bao gồm mỗi công thức toán học như công thức đại số, công thức hình học, công thức hình học phân tích, công thức thức chiết khấu, công thức tích hợp, công thức lượng giác, biến đổi Laplace công thức, công thức xác suất, mà sẽ giúp tất cả học sinh & đặc biệt những người đang chuẩn bị cho kỳ thi cạnh tranh . .
công thức đại số Toán
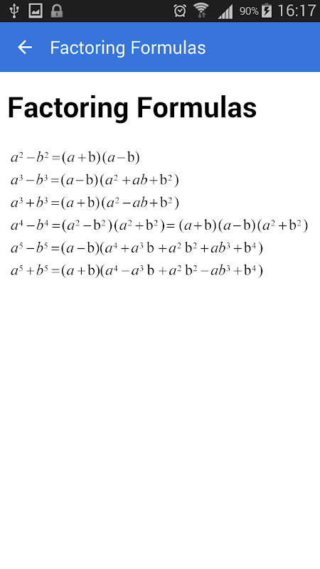
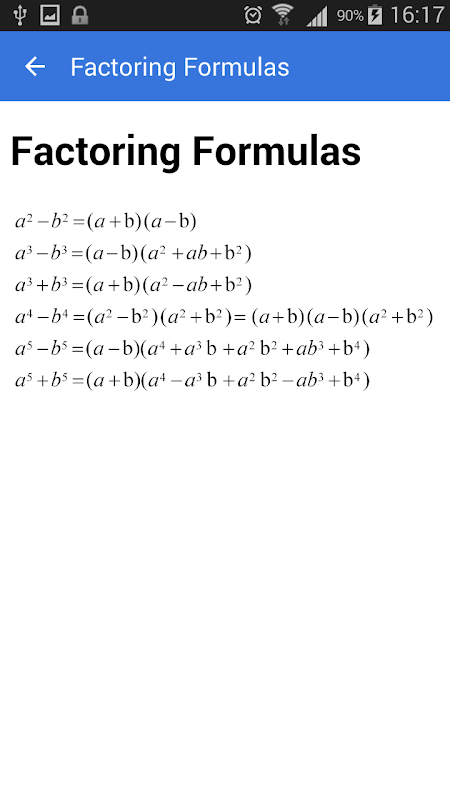
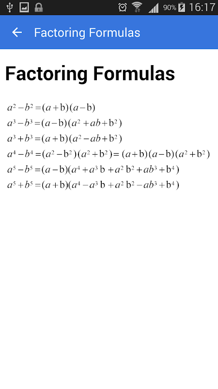
- công thức bao thanh toán
- công thức sản phẩm
- Roots công thức
- Quyền hạn công thức
- Công thức Logarithmic
- phương trình hữu ích
- Số phức
- Định lý nhị thức
công thức hình học Toán
- Cone
- Hình trụ
- Tam giác cân
- Quảng trường
- Quả cầu
- Hình chữ nhật
- Rhombus
- bình hành
- Hình thang
công thức giải tích Hình học môn Toán
- 2-D hệ toạ độ
- Vòng tròn
- Hyperbol
- elip
- Parabol
công thức Toán nguồn gốc
- Giới hạn công thức
- Tính chất của đạo hàm
- Công thức phái sinh chung
- Hàm lượng giác
- Chức năng Inverse lượng giác
- Chức năng Hyperbolic
- Inverse chức năng Hyperbolic
công thức tích hợp môn Toán
- Tính chất của Integration
- Tích hợp các chức năng hợp lý
- Tích hợp các chức năng lượng giác
- Tích hợp các chức năng Hyperbolic
- Lồng ghép Exponential và log chức năng
công thức lượng giác môn Toán
- Khái niệm cơ bản của Trigonometry
- Công thức chung Trigonometry
- Sine, Cosine quy tắc
- Mục Góc
- chuyển đổi góc
- Nửa / đôi / Nhiều góc công thức
- Sum chức năng
- Sản phẩm chức năng
- Quyền hạn của các chức năng
- Công thức Euler
- Allied góc bảng
- bản sắc góc Negative
Biến đổi Laplace công thức Toán
- Tính chất của biến đổi Laplace
- Chức năng của biến đổi Laplace
công thức Fourier Toán
- Loạt Fourier
- Biến đổi Fourier hoạt động
- Bảng của biến đổi Fourier
công thức loạt Toán
- loạt Arithmetic
- loạt hình học
- series hữu hạn
- loạt nhị thức
- mở rộng loạt điện
phương pháp số công thức Toán
- Lagrange, newton của Interpolation
- chênh lệch lạc hậu / phía trước của Newton
- Hội nhập số
- Nguồn gốc của phương trình
Vector calculus công thức Toán
- bản sắc vector
Xác suất công thức Toán
- Khái niệm cơ bản của xác suất
- Sự mong đợi
- Phương sai
- phân phối
- hoán vị
- Kết hợp
công thức Gamma Toán Beta
- Chức năng Beta
- Chức năng Gamma
- mối quan hệ Beta-gamma
Z - Transform
- Tính chất của z- transform
- Một số cặp chung
What's new in the latest 31
Thông tin APK All Math Formulas
Phiên bản cũ của All Math Formulas
All Math Formulas 31
All Math Formulas 4.0
All Math Formulas 3.8
All Math Formulas 16
Tải xuống siêu nhanh và an toàn thông qua Ứng dụng APKPure
Một cú nhấp chuột để cài đặt các tệp XAPK/APK trên Android!




