عن All Math Formulas
غطاء 1500 بالإضافة إلى الرياضيات الصيغ مع diagram.Easy لفهم وخالية تماما
يغطي ALL الرياضيات الصيغ كل الصيغ مثل الرياضيات الصيغ الجبر والمعادلات الهندسة والصيغ الهندسة التحليلية، صيغ اشتقاق الصيغ التكامل والصيغ علم المثلثات، تحويل لابلاس الصيغ والمعادلات الاحتمالات، من شأنها أن تساعد جميع الطلاب وخصوصا أولئك الذين يستعدون للامتحانات التنافسية . .
الصيغ الجبر الرياضيات
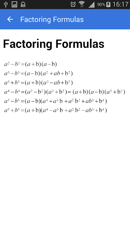
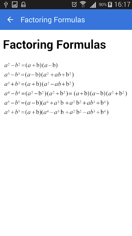
- الصيغ العوملة
- الصيغ المنتج
- صيغة الجذور
صيغة القوى -
- صيغة لوغاريتمي
- المعادلات مفيدة
- عدد مجمع
- نظرية ثنائية
الصيغ هندسة الرياضيات
- المخروط
- اسطوانة
- مثلث متساوي الساقين
- ميدان
- جسم كروى
- مستطيل
- المعين
- متوازي الاضلاع
- شبه منحرف
الصيغ الهندسة التحليلية الرياضيات
- نظام 2-D تنسيق
- الدوار
- القطع الزائد
- الشكل البيضاوي
- القطع المكافئ
صيغ الاشتقاق الرياضيات
- صيغة حدود
- خصائص مشتق
- صيغة مشتقة العامة
- الدوال المثلثية
- وظائف معكوس المثلثية
- وظائف الزائدية
- وظائف الزائدية العكسية
صيغ التكامل الرياضيات
- خواص التكامل
- تكامل دالة كسرية
- تكامل الدوال المثلثية
- دمج وظائف الزائدية
- دمج الأسي وسجل وظائف
الصيغ علم المثلثات الرياضيات
- أساسيات علم المثلثات
- صيغة علم المثلثات عامة
- جيب، جيب التمام حكم
- جدول زاوية
- التحول زاوية
- نصف / مزدوجة / صيغة زاوية متعددة
- مجموع الوظائف
- المنتج من الوظائف
- صلاحيات وظائف
- صيغة أويلر
- الحلفاء زوايا الجدول
- الهويات زاوية السلبية
تحويل لابلاس الصيغ الرياضيات
- خصائص تحويل لابلاس
- وظائف تحويل لابلاس
الصيغ فورييه الرياضيات
- سلسلة فورييه
- تحويل فورييه العمليات
- جدول تحويل فورييه
الصيغ سلسلة الرياضيات
- سلسلة الحسابية
- سلسلة هندسية
- سلسلة محدود
- سلسلة ذات الحدين
- سلسلة التوسعات الطاقة
الطرق العددية الصيغ الرياضيات
- لاغرانج، الاستيفاء نيوتن
- الفرق الوراء / إلى الأمام نيوتن
- تكامل رقمي
- جذور المعادلة
الصيغ الرياضيات حساب المتجهات
- الهويات ناقلات
الصيغ الرياضيات احتمال
- أساسيات الاحتمالات
- التوقع
- التباين
- توزيعات
- التباديل
- دمج
الصيغ غاما الرياضيات بيتا
- وظائف بيتا
- وظائف غاما
- بالنسبة بيتا جاما
Z - تحويل
- خصائص Z- تحويل
- بعض أزواج المشتركة
What's new in the latest 31
معلومات All Math Formulas APK
الإصدارات القديمة لـ All Math Formulas
All Math Formulas 31
All Math Formulas 4.0
All Math Formulas 3.8
All Math Formulas 16
قم بتنزيل سريع وآمن بالغاية عبر تطبيق APKPure
قم بتثبيت ملفات XAPK/APK بنقرة واحدة على أندرويد!




