关于All Math Formulas
与diagram.Easy盖1500加数学公式来理解并完全免费
所有的数学公式涵盖了每一个数学公式像代数公式,几何公式,解析几何公式,推导公式,集成式,三角式,拉普拉斯变换公式,概率公式,这将帮助所有的学生和特别是那些谁正准备竞争考试。 。
代数公式数学
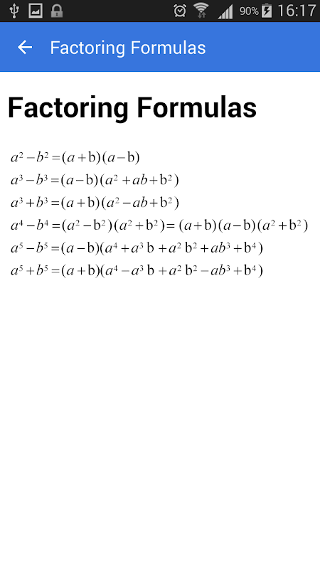
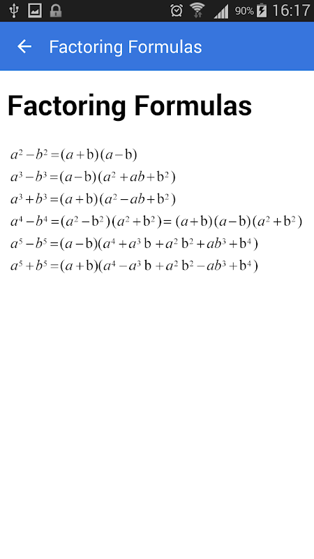
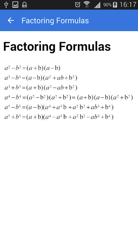
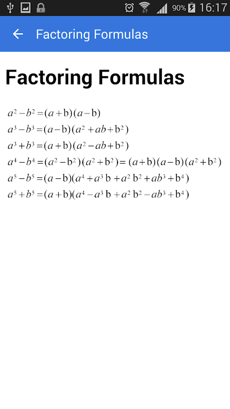
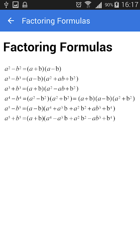
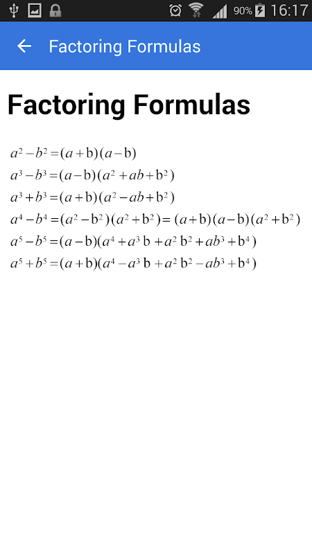
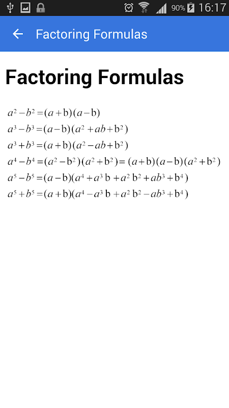
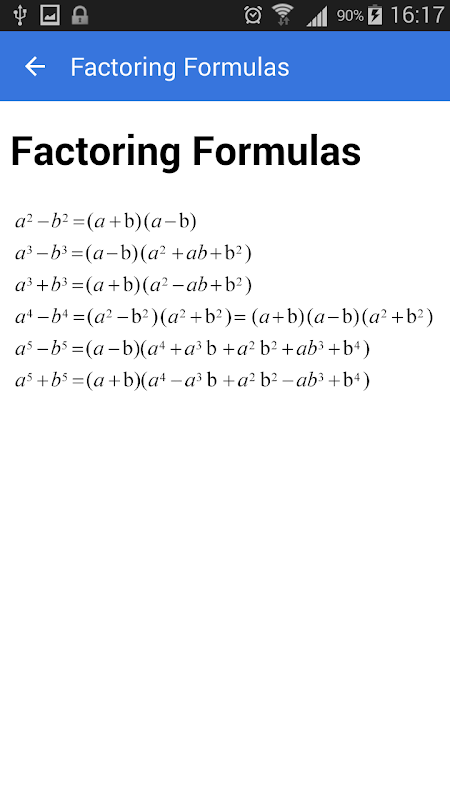
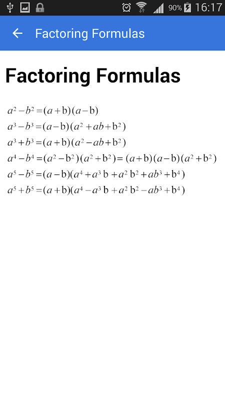
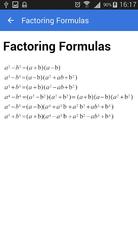
- 保理公式
- 产品配方
- 罗茨式
- 国式
- 对数式
- 有用公式
- 复数
- 二项式定理
几何数学公式
- 锥
- 圆筒
- 等腰三角形
- 广场
- 球
- 长方形
- 菱形
- 平行四边形
- 梯形
解析几何数学公式
- 2-D坐标系统
- 圈
- 双曲线
- 椭圆形
- 抛物线
推导数学公式
- 限制公式
- 的衍生属性
- 一般衍生物式
- 三角函数
- 反三角函数
- 双曲线函数
- 反双曲函数
整合数学公式
- 集成的特性
- 合理的功能整合
- 三角函数整合
- 双曲线函数的积分
- 和日志指数的集成功能
三角数学公式
- 三角的基础知识
- 一般三角公式
- 正弦,余弦规则
- 角度表
- 角度变换
- 半/双/多角度式
- 功能总和
- 功能产品
- 功能的权力
- 欧拉公式
- 盟军角度表
- 负角身份
拉普拉斯变换公式数学
- 拉普拉斯变换属性
- 拉普拉斯变换功能
傅立叶数学公式
- 傅立叶级数
- 傅立叶变换操作
- 傅立叶变换表
系列数学公式
- 等差数列
- 几何级数
- 有限系列
- 二项系列
- Power系列扩展
数值方法数学公式
- 拉格朗日,牛顿插值
- 牛顿的前进/后退的区别
- 数值积分
- 方程的根
矢量微积分数学公式
- 矢量标识
概率数学公式
- 概率的基础知识
- 展望
- 方差
- 分布
- 排列组合
- 组合
贝塔伽玛数学公式
- 测试版功能
- 伽玛功能
- β-γ的关系
ž - 变换
- 性能Z-变换
- 一些常见的对




