Mengenai All Math Formulas
Cover 1500 plus matematik formula dengan diagram.Easy untuk memahami & percuma
ALL Matematik Formula meliputi setiap formula matematik seperti formula Algebra, formula geometri, formula Analisis Geometry, formula Perolehan, formula Integrasi, formula Trigonometri, Laplace mengubah formula, formula Kebarangkalian, yang akan membantu semua pelajar & khas mereka yang sedang membuat persediaan untuk peperiksaan berdaya saing . .
formula Algebra Matematik
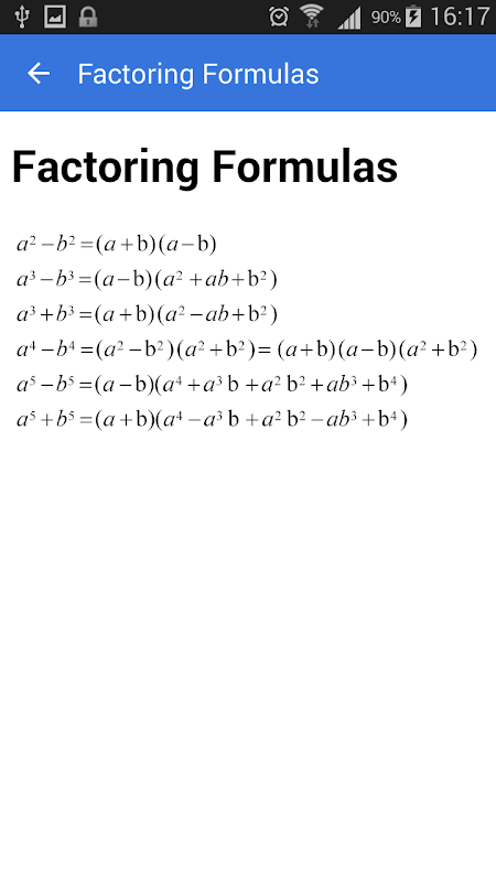
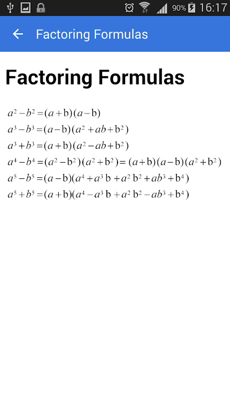
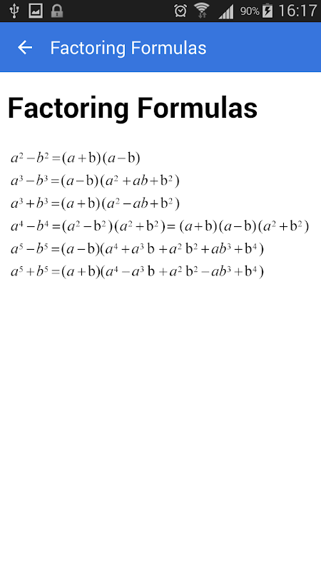
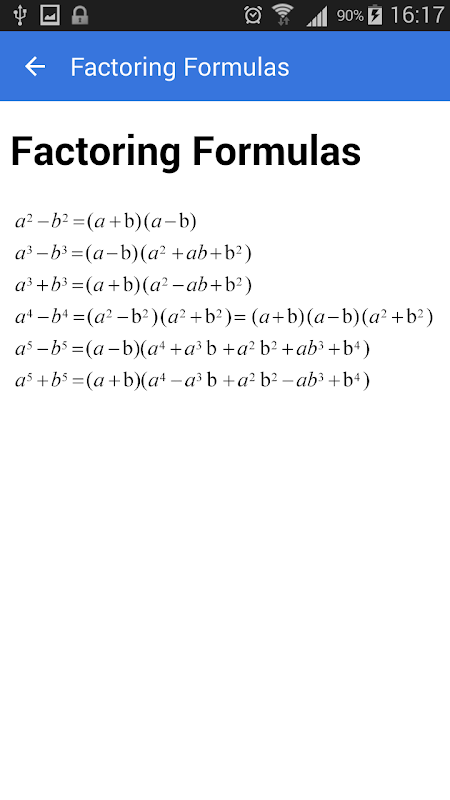
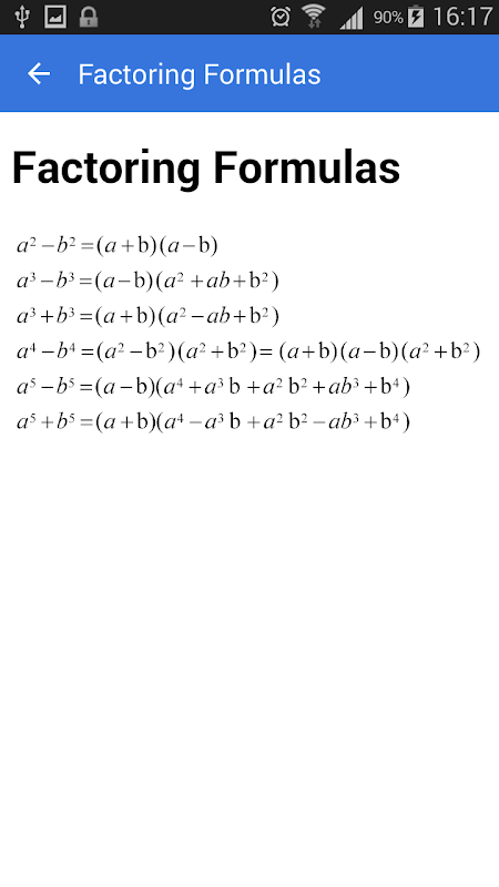
- formula Pemfaktoran
- formula produk
- formula Roots
formula Powers -
- formula Logaritma
- persamaan Berguna
- Nombor Complex
- teorem binomial
formula geometri Maths
- Kon
- silinder
- Isosceles Triangle
- Square
- Sphere
- Rectangle
- Rhombus
- Parallelogram
- Trapezoid
formula analisis geometri Maths
- sistem 2-D menyelaras
- Circle
- Hiperbola
- elips
- Parabola
formula terbitan Maths
- formula Had
- Hartanah derivatif
- formula terbitan General
- Fungsi trigonometri
- fungsi songsang Trigonometri
- fungsi hiperbolik
- songsang fungsi hiperbolik
formula integrasi Maths
- Hartanah Integrasi
- Integrasi fungsi rasional
- Integrasi Fungsi trigonometri
- Integrasi fungsi hiperbolik
- Integrasi Exponential dan log fungsi
formula trigonometri Matematik
- Dasar-dasar dari Trigonometry
- formula General Trigonometry
- Sine, peraturan Kosinus
- Isi Angle
- transformasi Angle
- Half / Double / formula sudut Pelbagai
- Sum fungsi
- Product fungsi
- Kuasa fungsi
- formula Euler
- Allied sudut meja
- identiti sudut negatif
Laplace mengubah formula Maths
- Sifat Laplace
- Fungsi Laplace
formula Fourier Maths
- siri Fourier
- Fourier mengubah operasi
- Isi jelmaan Fourier
formula siri Maths
- siri Arithmetic
- siri geometri
- siri terhingga
- siri Binomial
- pengembangan siri kuasa
kaedah berangka Matematik formula
- Lagrange, newton ini Interpolasi
- perbezaan ke belakang / hadapan Newton
- Integrasi berangka
- Roots persamaan
kalkulus vektor formula Maths
- identiti vektor
Kebarangkalian formula Maths
- Asas kebarangkalian
- Jangkaan
- Varian
- Pengagihan
- pilih atur
- Gabungan
Beta formula Gamma Maths
- Fungsi Beta
- Fungsi Gamma
- berhubung Beta-gamma
Z - Mengubah
- Sifat z mengubah
- Beberapa pasangan biasa
What's new in the latest 31
Maklumat APK All Math Formulas
Versi lama All Math Formulas
All Math Formulas 31
All Math Formulas 4.0
All Math Formulas 3.8
All Math Formulas 16
Muat Turun Super Pantas dan Selamat melalui Apl APKPure
Satu klik untuk memasang fail XAPK/APK pada Android!




