About All Math Formulas
آریھرم کے ساتھ 1500 علاوہ ریاضی کے فارمولوں کا احاطہ کریں۔ سمجھنے میں آسان اور مکمل طور پر مفت
تمام ریاضی کے فارمولوں میں ریاضی کے ہر فارمولے جیسے کہ الجبرا فارمولا ، جیومیٹری فارمولے ، تجزیاتی جیومیٹری کے فارمولے ، اخذ کے فارمولے ، انٹیگریشن فارمولے ، ٹریگونومیٹری فارمولے ، لیپلیس ٹرانسفارم فارمولے ، امکانی فارمولوں کا احاطہ کیا گیا ہے ، جس سے تمام طلباء اور خاص طور پر مسابقتی امتحانات کی تیاریوں میں مدد ملے گی۔ . .
الجبرا ریاضی کے فارمولے
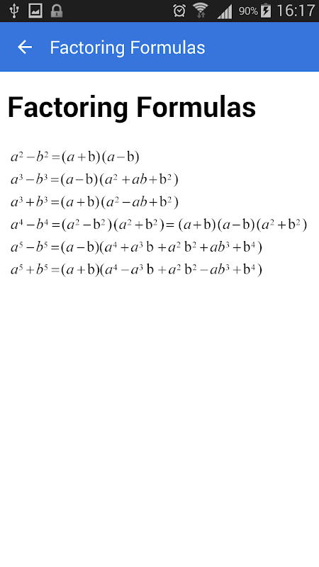
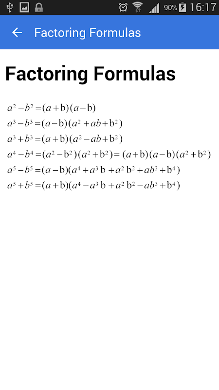
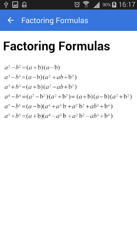
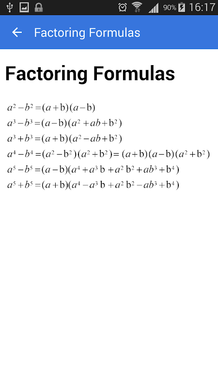
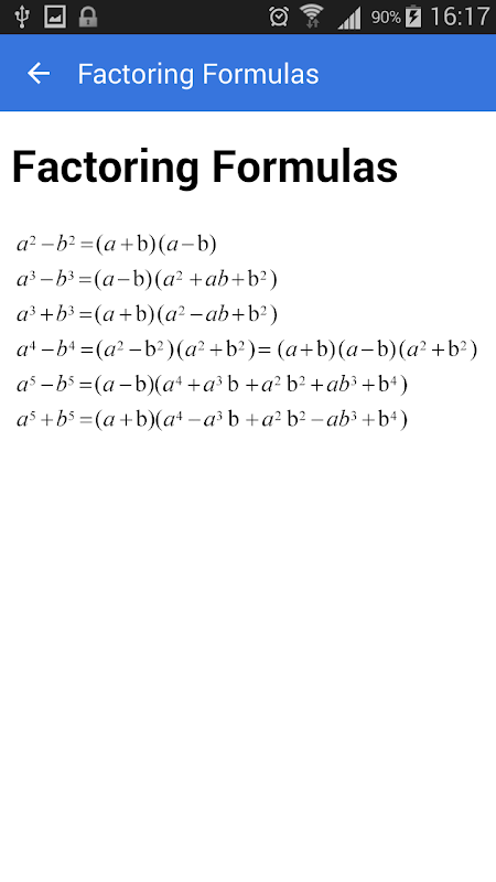
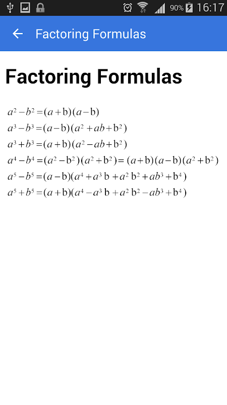
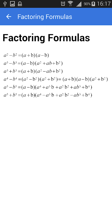
- فیکٹرنگ فارمولے
- مصنوعات کے فارمولے
- جڑوں کا فارمولا
- طاقتوں کا فارمولا
- لوگریتھمک فارمولا
- مفید مساوات
کمپلیکس نمبر
- بائنومیئل تھیوریم
ہندسی ریاضی کے فارمولے
- مخروط
- سلنڈر
- مساوی الساقین مثلث
- مربع
- کرہ
- مستطیل
- رومبس
- متوازی الاضلاع
- ٹراپیزائڈ
تجزیاتی جیومیٹری ریاضی کے فارمولے
- 2-D کوآرڈینیٹ سسٹم
- دائرہ
- ہائپربولا
- بیضوی
- پاربولا
ماخوذ ریاضی کے فارمولے
- حدود کا فارمولا
- مشتق کی خصوصیات
- عمومی مشتق فارمولہ
- سہ رخی افعال
- الٹا ٹریگنومیٹرک افعال
- ہائپربولک افعال
- الٹا ہائپربولک افعال
انٹیگریشن ریاضی کے فارمولے
- انضمام کی خصوصیات
- عقلی افعال کا انضمام
- سہ رخی افعال کا انضمام
- ہائپربولک افعال کا انضمام
- کفایت شعاری اور لاگ افعال کا انضمام
سہ رخی ریاضی کے فارمولے
- سہ رخی کی بنیادی باتیں
- جنرل سہ رخی فارمولا
S - سائن ، کوسن اصول
- زاویہ کی میز
- زاویہ کی تبدیلی
- نصف / ڈبل / ایک سے زیادہ زاویہ فارمولہ
- افعال کا جوڑ
- افعال کی مصنوعات
- افعال کی طاقت
- یولر کا فارمولا
- اتحادی زاویوں کی میز
- منفی زاویہ کی شناخت
لیپلیس ریاضی کے فارمولوں کو تبدیل کرتا ہے
- لیپلیس ٹرانسفارم کی پراپرٹیز
- لیپلیس کے کام تبدیل
فوئیر ریاضی کے فارمولے
- فوئیر سیریز
- فوئیر ٹرانسفارم آپریشن
- ٹیبل فوریئر ٹرانسفارم
سیریز ریاضی کے فارمولے
- ریاضی سیریز
- ہندسی سلسلہ
- محدود سیریز
- بائنومیئل سیریز
- پاور سیریز توسیع
ہندسوں کے طریقے ریاضی کے فارمولے
۔لگرینج ، نیوٹن کا رکاوٹ
- نیوٹن کے آگے / پسماندہ فرق
- عددی انضمام
- مساوات کی جڑیں
ویکٹر کیلکولس ریاضی کے فارمولے
- ویکٹر کی شناخت
امکان ریاضی کے فارمولے
- امکان کی بنیادی باتیں
- امید
- فرق
- تقسیم
- پرمٹٹیشن
- مجموعہ
بیٹا گاما ریاضی کے فارمولے
- بیٹا افعال
- گاما افعال
- بیٹا گاما کا رشتہ
زیڈ - ٹرانسفارم
- z- تبدیلی کی خصوصیات
- کچھ مشترکہ جوڑے
What's new in the latest 31
All Math Formulas APK معلومات
کے پرانے ورژن All Math Formulas
All Math Formulas 31
All Math Formulas 4.0
All Math Formulas 3.8
All Math Formulas 16
APKPure ایپکےذریعےانتہائی تیزاورمحفوظڈاؤنلوڈنگ
Android پر XAPK/APK فائلیںانسٹالکرنےکےلیےایککلککریں!




