About Class 12 Maths NCERT Solutions
کلاس 12 ریاضی کے لئے NCERT حل
نیشنل کونسل آف ایجوکیشن ریسرچ اینڈ ٹریننگ (این سی ای آر ٹی) ان تمام اسکولوں کے لئے نصاب طے کرتی ہے جو ملک بھر میں سنٹرل بورڈ آف سیکنڈری ایجوکیشن (سی بی ایس ای) کی پیروی کرتے ہیں۔ کلاس 12 ریاضی کے این سی ای آر ٹی حلوں کو لکھا گیا ہے تاکہ طلباء کو این سی ای آر ٹی کے ذریعہ تجویز کردہ نصابی کتب کی تمام پریشانیوں کو سمجھے۔ کلاس 12 ریاضی این سی ای آر ٹی کے حل طلبہ کو نصابی کتب میں دی گئی مشقوں کو حل کرنے اور بورڈ کے امتحان میں اچھے نمبر حاصل کرنے میں مدد فراہم کرتے ہیں۔ اس میں این سی ای آر ٹی کی نصابی کتاب کے 13 اہم ابواب کے سوالات کا احاطہ کیا گیا ہے ، جس میں وہ دونوں مسائل اور ان کے حل فراہم کرتے ہیں۔ کلاس 12 ریاضی این سی ای آر ٹی کے حل میں انضمام ، تفریق ، الجبرا اور دیگر جیسے ابواب شامل ہیں۔ ایپ کو ایک قدم بہ قدم اور منطقی انداز میں تشکیل دیا گیا ہے ، جس کی مدد سے طالب علم آسانی سے تصورات کو سمجھ سکتا ہے۔
این سی ای آر ٹی کلاس 12 ریاضی باب وار حل
پہلا باب - تعلقات اور افعال
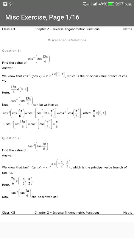
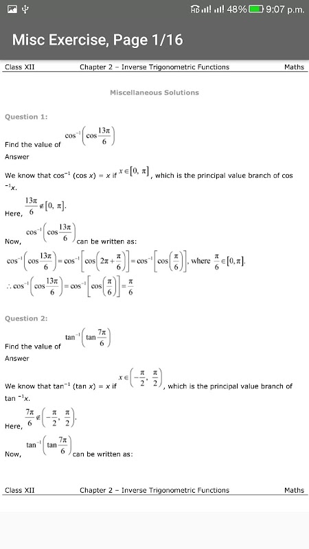
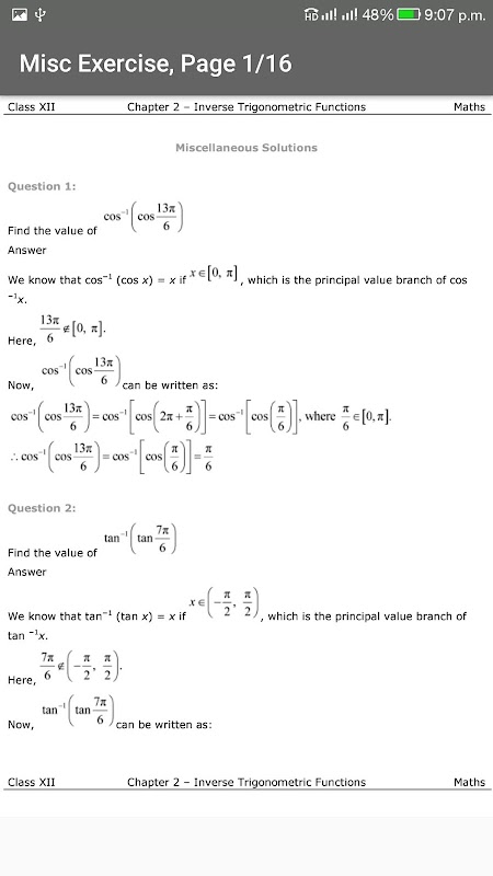
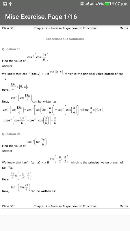
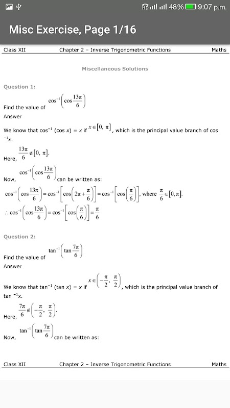
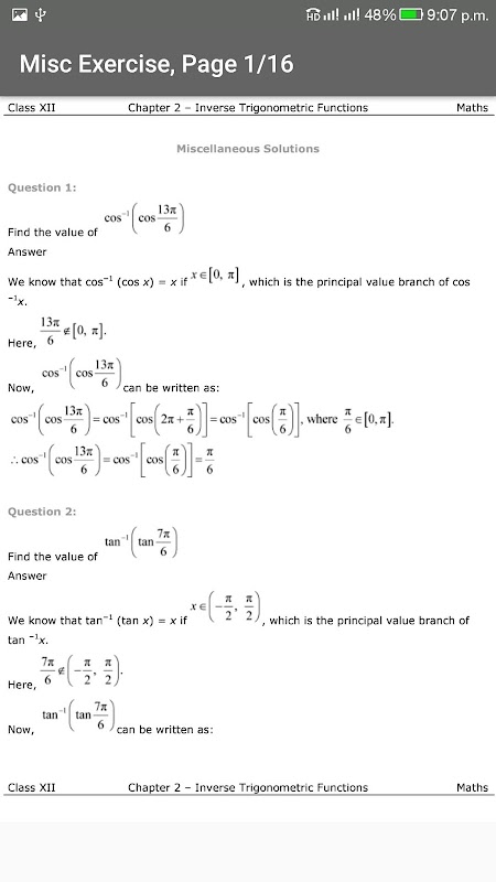
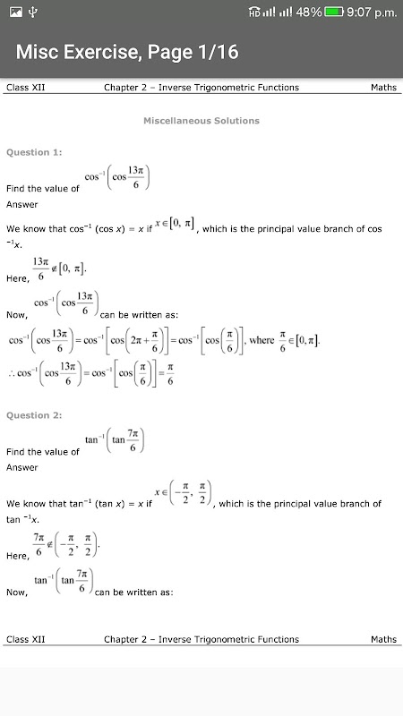
باب 2 - الٹا ٹرائیونومیٹرک افعال
باب 3 - میٹرکس
باب -۔ متعین
باب 5 - تسلسل اور تفرقیت
باب 6 - ماخوذ کا اطلاق
باب 7 - انضمام
باب 8 - انضمام کا اطلاق
باب 9 - متفرق مساوات
باب 10 - ویکٹر الجبرا
باب 11 - تین جہتی جیومیٹری
باب 12 - لکیری پروگرامنگ
باب 13 - امکان
ریاضی قدیم زمانے سے ہی انسانیت سے وابستہ ہے۔ کیا آپ جانتے ہیں کہ آثار قدیمہ کے ماہرین نے دریافت کیا ہے کہ وادی سندھ کی تہذیب کے ذریعہ ایک عدد نظام استعمال کیا جاتا ہے؟ انہوں نے اسے دنیا کے مختلف حصوں میں تجارت اور تجارت کے لئے استعمال کیا۔ آج ، روزانہ کی زندگی کے تقریبا تمام پہلوؤں میں ریاضی کی مطابقت پائی جاتی ہے۔ جب ہم سپر مارکیٹ پر جاتے ہیں تو ، ہم اپنے کل بل کا حساب کتاب کرنے کے لئے لامحالہ عددی نظام استعمال کرتے ہیں۔ جب ٹیچر کلاس میں حاضری لیتا ہے ، تو وہ حساب کتاب کرتے ہیں کہ کلاس میں کتنے طلباء موجود ہیں۔ یہ ایک بہت اچھا رہنما ہے جس کا استعمال سی بی ایس ای امتحانات کی تیاری کے ساتھ ساتھ جے ای ای جیسے انجینئرنگ داخلہ امتحانات کے لئے بھی کیا جاسکتا ہے۔ انفرادی یا اجتماعی مطالعات کے دوران یہ حل بہت مددگار ثابت ہوتے ہیں ، طالب علموں کو یہ سکھاتے ہیں کہ کسی مسئلے کو بہترین طریقے سے کیسے دیکھیں۔ ریاضی NCERT کلاس 12 کلاس ایک ایسی امداد ہے جو طلبا کو اسکول کی درسی کتاب کی تکمیل کرنی چاہئے اور ان کی پریشانیوں کو بہتر طور پر سمجھنے میں مدد دینی چاہئے۔ یہ ممتحن کے ذہن میں گیٹ وے کا کام کرتا ہے۔
What's new in the latest 1.5
Class 12 Maths NCERT Solutions APK معلومات
کے پرانے ورژن Class 12 Maths NCERT Solutions
Class 12 Maths NCERT Solutions 1.5
Class 12 Maths NCERT Solutions 1.4
Class 12 Maths NCERT Solutions 1.3
Class 12 Maths NCERT Solutions 1.2
APKPure ایپکےذریعےانتہائی تیزاورمحفوظڈاؤنلوڈنگ
Android پر XAPK/APK فائلیںانسٹالکرنےکےلیےایککلککریں!



