Over All Math Formulas
Cover 1500 plus wiskunde formules met diagram.Easy te begrijpen en volledig gratis
ALL Wiskunde Formules dekt elke wiskundige formules zoals Algebra formules, Meetkunde formules, analytische meetkunde formules, Afleiding formules, Integratie formules trigonometrie formules, Laplace-transformatie formules, Waarschijnlijkheid formules, dat alle studenten en helpt speciaal degenen die zich voorbereiden voor een concurrentiegerichte examens . .
Algebra Wiskunde formules
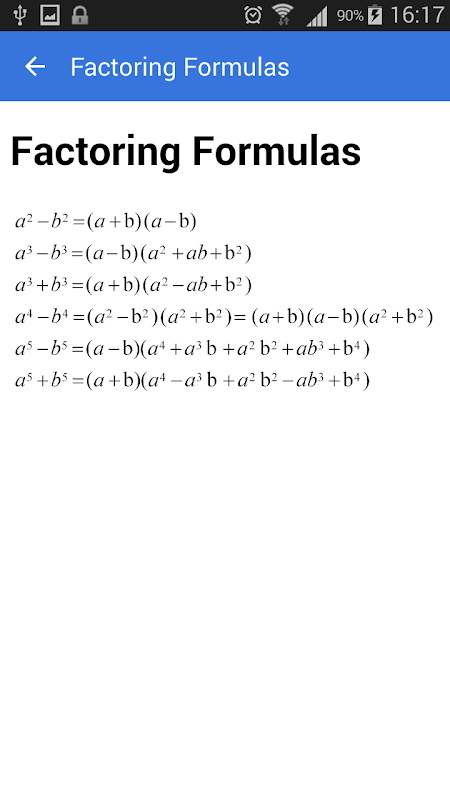
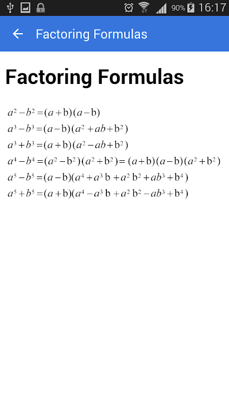
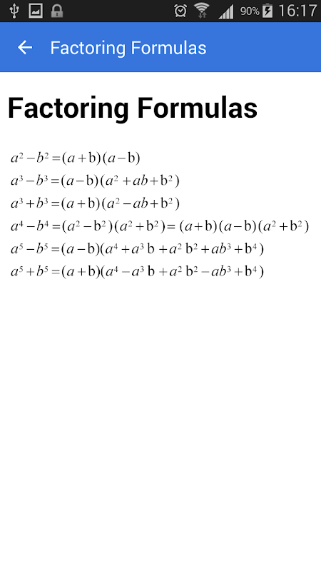
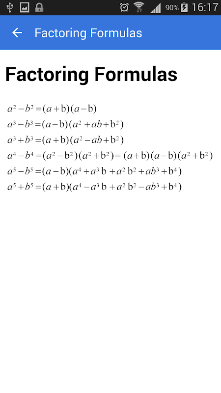
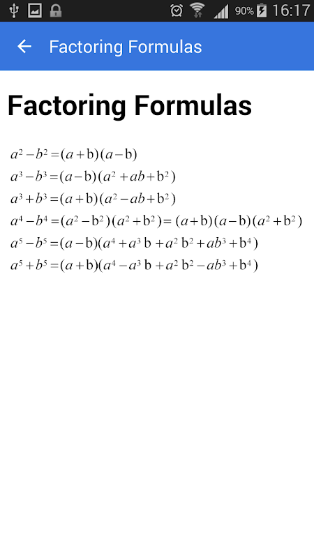
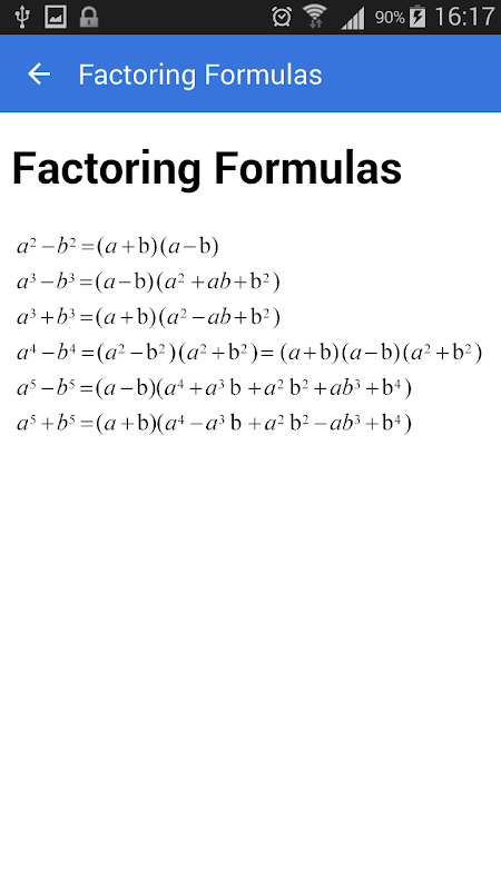
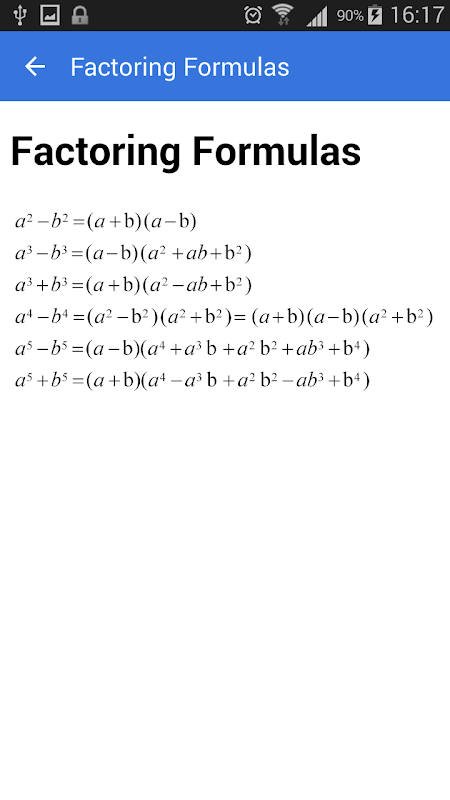
- Factoring formules
- Goederen formules
- Roots formule
- Powers formule
- Logaritmische formule
- Praktische vergelijkingen
- complexe getallen
- Binomial stelling
Geometry wiskunde formules
- Cone
- Cilinder
- Gelijkbenige driehoek
- Plein
- Sphere
- Rectangle
- ruit
- Parallellogram
- Trapezium
Analytische meetkunde wiskunde formules
- 2-D coördinatensysteem
- Cirkel
- Hyperbool
- Ellipse
- Parabool
Afleiding Wiskunde formules
- Grenzen formule
- Eigenschappen van afgeleide
- Algemeen derivaat met formule
- Trigonometrische functies
- cyclometrische functies
- Hyperbolische functies
- areaalfunctie
Integratie Wiskunde formules
- Eigenschappen van Integratie
- Integratie van rationale functies
- Integratie van Trigonometrische functies
- Integratie van hyperbolische functies
- Integratie van exponentiële en log functies
Trigonometrie Wiskunde formules
- Basics van Trigonometrie
- Algemeen trigonometrie formule
- sinus, cosinus regel
- Tabel Hoek
- Hoek transformatie
- Half / Double / Multiple Angle formule
- Som van functies
- Goederen van de functies
- Bevoegdheden van de functies
- Euler formule
- Allied hoeken table
- Negatieve hoek identiteiten
Laplace-transformatie Wiskunde formules
- Eigenschappen van Laplace-transformatie
- Functies van Laplace-transformatie
Fourier Wiskunde formules
- Fourier-reeks
- Fourier-transformatie operaties
- Tabel van de Fourier-transformatie
Series Wiskunde formules
- Rekenen serie
- Geometrische reeks
- Eindige serie
- binomiaalreeks
- Vermogen reeksontwikkelingen
Numerieke methoden Wiskunde formules
- Lagrange, newton interpolatie
- vooruit / achteruit verschil van Newton
- Numerieke integratie
- Wortels van vergelijking
Vector calculus wiskunde formules
- vector identiteiten
Waarschijnlijkheid Wiskunde formules
- Basics van waarschijnlijkheid
- Verwachting
- Variance
- Uitkeringen
- Permutaties
- Combinaties
Beta Gamma Wiskunde formules
- Beta functies
- Gamma functies
- Beta-gamma relatie
Z - Transform
- Eigenschappen van z- transformeren
- Enkele veel voorkomende paren
What's new in the latest 31
All Math Formulas APK -informatie
Oude versies van All Math Formulas
All Math Formulas 31
All Math Formulas 4.0
All Math Formulas 3.8
All Math Formulas 16
Supersnel en veilig downloaden via de APKPure-app
Eén klik om XAPK/APK-bestanden op Android te installeren!




