Math Formulae Pro के बारे में
छात्रों और शिक्षार्थियों के लिए एक आवश्यक ऐप
यह मैथ फॉर्मूला लाइट का विज्ञापन-मुक्त संस्करण है।
कृपया डेवलपर्स को समर्थन देने के लिए ऐप खरीदने पर विचार करें।
मैथ फॉर्मूला प्रो एक अनोखा और व्यापक ऐप है जिसे विशेष रूप से कॉलेज ग्रेड/उच्च ग्रेड के छात्रों के लिए वन-स्टॉप समाधान के रूप में डिज़ाइन किया गया है। यह बीजगणित, ज्यामिति, त्रिकोणमिति और कैलकुलस में सभी महत्वपूर्ण सूत्रों/विषयों को सूचीबद्ध करता है। इन सूत्रों/अवधारणाओं की नियमित समीक्षा निश्चित रूप से आपके ग्रेड को बेहतर बनाने में मदद करेगी।
कवर किए गए विषयों में शामिल हैं:
बीजगणित
बुनियादी गुण और तथ्य
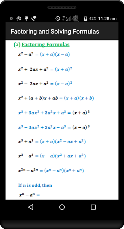
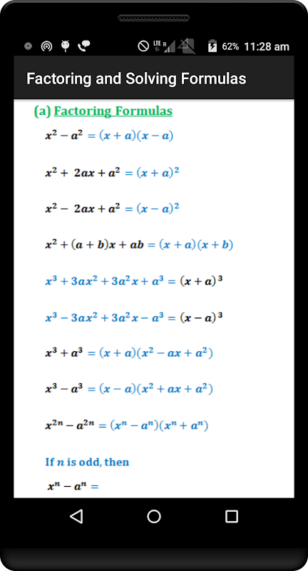
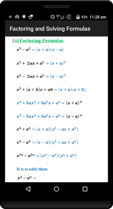
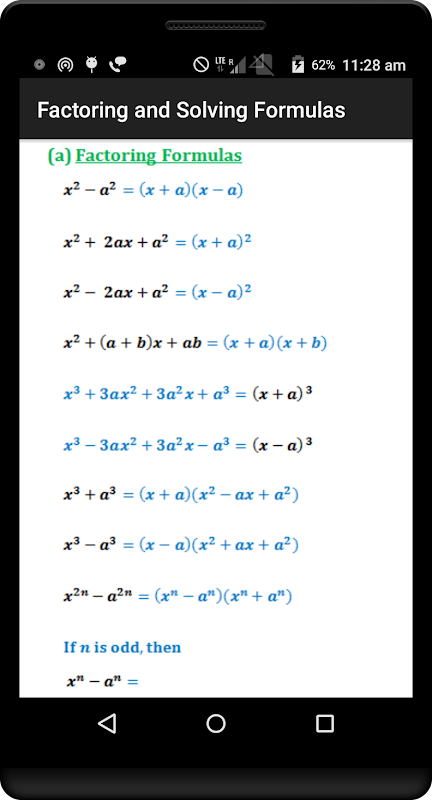
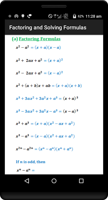
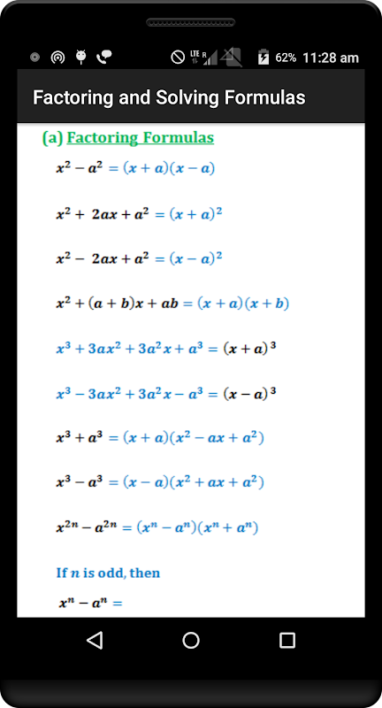
गुणनखंडन और समाधान सूत्र
गुणनखंडन और हल करने की विधियाँ (वर्गों को पूरा करने की विधियाँ आदि...)
कार्य और ग्राफ़
सामान्य बीजगणितीय त्रुटियाँ
ज्यामिति
बिंदु और रेखाएँ
एंगल्स
त्रिभुज
चतुर्भुज
बहुभुज
मंडलियां
निर्देशांक ज्यामिति
मापन सूत्र
त्रिकोणमिति
परिभाषाएं
तथ्य और गुण
सूत्र और पहचान
यूनिट सर्कल
व्युत्क्रम त्रिकोणमितीय फलन
ज्या, कोज्या और स्पर्शज्या का नियम
गणना
सीमाएं
संजात
अभिन्न
लाप्लास रूपांतरण
What's new in the latest 3
Math Formulae Pro APK जानकारी
APKPure ऐप के माध्यम से सुपर तेज़ और सुरक्षित डाउनलोडिंग
एंड्रॉइड पर XAPK/APK फ़ाइलें इंस्टॉल करने के लिए एक-क्लिक करें!







