Über Engineering Maths 1
Technische Mathematik: Vollständiges Handbuch für schnelles Lernen und Wiederholen
Technische Mathematik mit dieser kostenlosen, umfassenden mobilen App!
Diese App wurde für Studenten der Ingenieurwissenschaften entwickelt und deckt 80 wichtige Themen im Detail ab, verteilt auf 5 Kapitel, was sie zu Ihrem ultimativen Begleiter beim Lernen, Wiederholen und Vorbereiten auf Prüfungen oder Vorstellungsgespräche macht.
Mit klaren Erklärungen, Diagrammen, Gleichungen und Formeln bietet diese App ein tiefgreifendes Verständnis der wichtigsten mathematischen Konzepte. Egal, ob Sie für Prüfungen lernen oder bei Hausaufgaben eine schnelle Referenz benötigen, diese App hilft Ihnen, wichtige Themen schnell zu meistern.
Hauptmerkmale:
Vollständige Abdeckung von 80 Themen: Detaillierte Hinweise, Erklärungen und Beispiele zu allen wesentlichen Themen der Ingenieurmathematik.
5 gut strukturierte Kapitel: Organisierte Inhalte für systematisches Lernen.
Klare Diagramme und Formeln: Visuelle Hilfsmittel und wichtige mathematische Formeln zum leichteren Verständnis.
Optimiert für schnelles Lernen: Ideal für Prüfungswiederholungen, Vorstellungsgespräche oder als Kurzreferenz.
Mobilfreundliche Oberfläche: Entwickelt für einfache Navigation und Anzeige, optimiert für mobile Geräte.
Benutzerfreundliche Oberfläche: Eine benutzerfreundliche Erfahrung, die das Lernen einfach und effektiv macht.
Behandelte Themen:
Leibnitz-Theorem
Probleme zum Leibnitz-Theorem
Differentialrechnung-I
Krümmungsradius
Krümmungsradius in parametrischer Form
Probleme zum Krümmungsradius
Krümmungsradius in Polarform
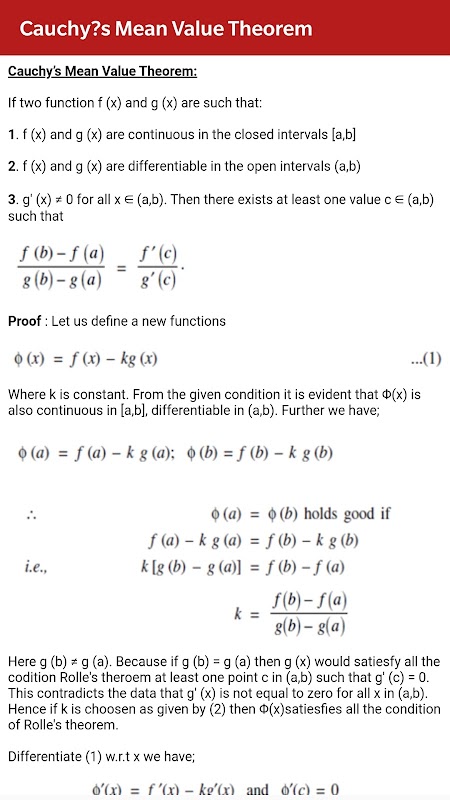
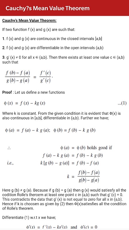
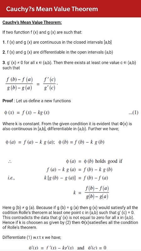
Cauchys Mittelwertsatz
Satz von Taylor
Probleme zum Fundamentalsatz
Partielle Ableitungen
Euler-Lagrange-Gleichung
Kurvenverfolgung
Änderung des Variablensatzes
Probleme zur Differentialrechnung I
Unbestimmte Formen
Probleme mit der L'Hospital-Regel
Verschiedene unbestimmte Formen
Probleme auf verschiedenen unbestimmten Formen
Satz von Taylor für Funktionen zweier Variablen
Probleme zum Satz von Taylor
Maxima und Minima von Funktionen zweier Variablen
Probleme zu Maxima und Minima von Funktionen zweier Variablen
Lagranges Methode unbestimmter Multiplikatoren
Probleme mit der Lagrange-Methode
Polarkurven
Probleme auf Polarkurven
Jacobian der Transformation
Extrema von Funktionen mehrerer Variablen
Probleme zur Differentialrechnung II
Mehrere Integrale
Probleme mit mehreren Integralen
Doppelintegral durch Änderung der Integrationsreihenfolge
Anwendungen auf Fläche und Volumen
Probleme bei Anwendungen auf Fläche und Volumen
Beta- und Gammafunktionen
Beziehung zwischen Beta- und Gammafunktionen
Probleme mit Beta- und Gammafunktionen
Dirichlet-Integral
Dirichlet-Integral und Fourier-Reihe
Probleme mit Dirichlet-Integralen
Dreifache Integrale
Dreifache Integrale mit Zylinderkoordinaten
Probleme mit Integralen
Objektive Fragen zu Integralen
Vektorfunktionen
Vektorlinienintegral
Satz von Green
Gaußscher Divergenzsatz
Stokes Theorem
Oberflächen- und Volumenintegrale
Probleme zum Integralsatz
Richtungsableitung des Vektors
Vektorverlauf
Satz des Linienintegrals
Orthogonale krummlinige Koordinaten
Differentialoperatoren
Divergenz des Vektors
Curl des Vektors
Probleme zur Vektorrechnung
Einführung in Matrizen
Eigenschaften von Matrizen
Skalarmultiplikation
Matrixmultiplikation
Transponieren der Matrix
Nichtsinguläre Matrix
Staffelform der Matrix
Determinanten
Eigenschaften von Determinanten
System linearer Gleichungen
Lösung eines linearen Systems
Lösung des linearen Systems durch inverse Methode
Rang und Spur der Matrix
Cayley-Hamilton-Theorem
Eigenwerte und Eigenvektoren
Methode zur Ermittlung von Eigenwerten und Eigenvektoren
Warum Sie diese App brauchen:
Umfassende Abdeckung: Ganz gleich, ob Sie gerade erst anfangen oder wieder auffrischen, diese App deckt alles ab, was Sie für die Technische Mathematik benötigen.
Konzentrieren Sie sich auf Prüfungsthemen: Wichtige Konzepte und Themen werden ausführlich behandelt, damit Sie sich sicher auf Prüfungen vorbereiten können.
Ausführliche Erläuterungen: Ausführliche Hinweise und Problemlösungsbeispiele erleichtern das Verständnis komplexer Themen.
Perfekt als Kurzreferenz: Müssen Sie ein Konzept auffrischen? Mit dieser App erhalten Sie schnellen Zugriff auf alle Themen und eignen sich daher perfekt zum schnellen Nachschlagen und Überarbeiten.
Überall lernen: Optimiert für den mobilen Einsatz, sodass Sie jederzeit und überall unterwegs lernen können.
What's new in the latest 15.0
Engineering Maths 1 APK -Informationen
Alte Versionen von Engineering Maths 1
Engineering Maths 1 15.0
Engineering Maths 1 14.0
Engineering Maths 1 1.13
Engineering Maths 1 1.11
Superschnelles und sicheres Herunterladen über die APKPure-App
Ein Klick zur Installation von XAPK/APK-Dateien auf Android!







