Giới thiệu về Engineering Maths 1
Toán kỹ thuật: Cẩm nang hoàn chỉnh để học và ôn tập nhanh
Toán kỹ thuật với ứng dụng di động toàn diện, miễn phí này!
Được thiết kế dành cho sinh viên kỹ thuật, ứng dụng này bao gồm 80 chủ đề thiết yếu một cách chi tiết, trải rộng trong 5 chương, khiến nó trở thành người bạn đồng hành tối ưu của bạn trong việc học tập, ôn tập và chuẩn bị cho các kỳ thi hoặc phỏng vấn.
Với những giải thích, sơ đồ, phương trình và công thức rõ ràng, ứng dụng này mang đến sự hiểu biết sâu sắc về các khái niệm toán học quan trọng. Cho dù bạn đang ôn thi hay cần tham khảo nhanh trong khi làm bài tập, ứng dụng này sẽ giúp bạn nhanh chóng nắm vững các chủ đề quan trọng.
Các tính năng chính:
Bao gồm đầy đủ 80 chủ đề: Ghi chú chi tiết, giải thích và ví dụ bao gồm tất cả các chủ đề Toán kỹ thuật thiết yếu.
5 chương có cấu trúc tốt: Nội dung được tổ chức để học tập có hệ thống.
Sơ đồ & Công thức rõ ràng: Hỗ trợ trực quan và các công thức toán học cần thiết để dễ hiểu hơn.
Tối ưu hóa cho việc học nhanh: Lý tưởng cho việc ôn thi, phỏng vấn hoặc làm tài liệu hướng dẫn tham khảo nhanh.
Giao diện thân thiện với thiết bị di động: Được thiết kế để dễ dàng điều hướng và xem, được tối ưu hóa cho thiết bị di động.
Giao diện dễ sử dụng: Trải nghiệm thân thiện với người dùng giúp việc học trở nên đơn giản và hiệu quả.
Chủ đề được đề cập:
Định lý Leibnitz
Các vấn đề về Định lý Leibnitz
Phép tính vi phân-I
Bán kính cong
Bán kính cong ở dạng tham số
Các vấn đề về bán kính cong
Bán kính cong ở dạng cực
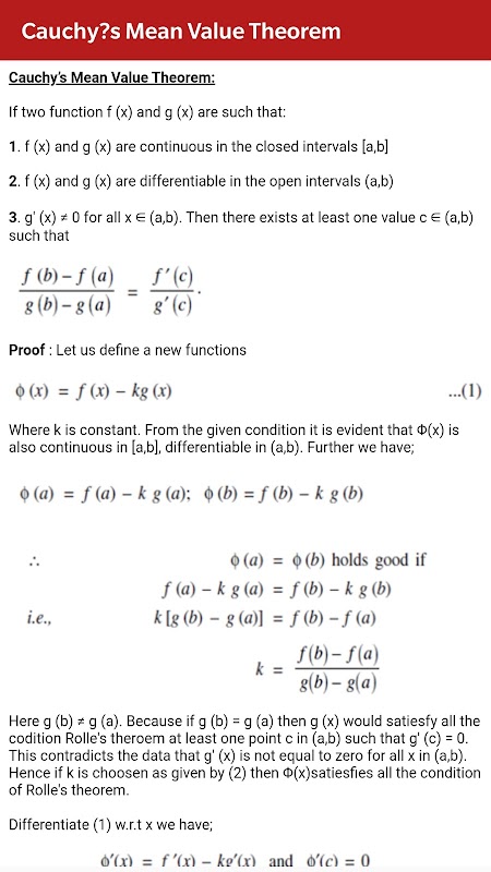
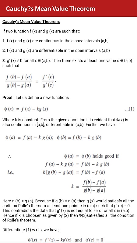
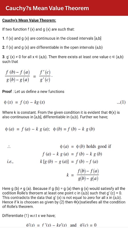
Định lý giá trị trung bình của Cauchy
Định lý Taylor
Các vấn đề về Định lý cơ bản
Đạo hàm một phần
Phương trình Euler-Lagrange
Truy tìm đường cong
Định lý biến đổi
Các bài toán về phép tính vi phân I
Các dạng không xác định
Các vấn đề về Quy tắc L'Hospital
Các dạng không xác định khác nhau
Các vấn đề về các hình thức không xác định khác nhau
Định lý Taylor cho hàm số hai biến
Các vấn đề về Định lý Taylor
Cực đại và cực tiểu của hàm số hai biến
Bài toán về cực đại và cực tiểu của hàm số hai biến
Phương pháp nhân tử không xác định của Lagrange
Các vấn đề về phương pháp Lagrange
Đường cong cực
Các vấn đề về đường cong cực
Jacobian của sự biến đổi
Cực trị của hàm nhiều biến
Các bài toán về phép tính vi phân II
Tích phân bội
Các vấn đề về tích phân bội
Tích phân kép bằng cách thay đổi thứ tự tích phân
Ứng dụng cho diện tích và thể tích
Các vấn đề về ứng dụng đối với diện tích và khối lượng
Hàm Beta và Gamma
Mối quan hệ giữa hàm Beta và hàm Gamma
Sự cố về hàm Beta và Gamma
Tích phân Dirichlet
Chuỗi tích phân Dirichlet và chuỗi Fourier
Các vấn đề về tích phân Dirichlet
Tích phân ba lớp
Tích phân ba lớp sử dụng tọa độ trụ
Các vấn đề về tích phân
Câu hỏi khách quan về tích phân
Hàm vectơ
Tích Phân Đường Vector
Định lý Green
Định lý phân kỳ Gauss
Định lý Stoke
Tích phân bề mặt và thể tích
Các vấn đề về Định lý tích phân
Đạo hàm có hướng của Vector
Độ dốc véc tơ
Định lý tích phân đường thẳng
Tọa độ đường cong trực giao
Toán tử vi phân
Sự phân kỳ của Vector
Vector cuộn tròn
Các vấn đề về phép tính vectơ
Giới thiệu về ma trận
Tính chất của ma trận
Phép nhân vô hướng
Phép nhân ma trận
Chuyển vị của ma trận
Ma trận không số ít
Dạng ma trận cấp bậc
yếu tố quyết định
Thuộc tính của các yếu tố quyết định
Hệ phương trình tuyến tính
Giải pháp cho hệ thống tuyến tính
Giải hệ tuyến tính bằng phương pháp nghịch đảo
Xếp hạng và Dấu vết của Ma trận
Định lý Cayley-Hamilton
Giá trị riêng và vectơ riêng
Phương pháp tìm giá trị riêng và vectơ riêng
Tại sao bạn cần ứng dụng này:
Bảo hiểm toàn diện: Cho dù bạn mới bắt đầu hay đang ôn tập, ứng dụng này bao gồm mọi thứ bạn cần cho Toán kỹ thuật.
Tập trung vào chủ đề bài kiểm tra: Các khái niệm và chủ đề chính được trình bày chi tiết để giúp bạn tự tin chuẩn bị cho kỳ thi.
Giải thích chi tiết: Ghi chú chuyên sâu và ví dụ giải quyết vấn đề giúp các chủ đề phức tạp trở nên dễ hiểu hơn.
Hoàn hảo để tham khảo nhanh: Bạn cần tìm hiểu lại một khái niệm? Ứng dụng này cho phép bạn truy cập nhanh vào tất cả các chủ đề, khiến nó trở nên hoàn hảo để tham khảo và sửa đổi nhanh chóng.
Học ở mọi nơi: Được tối ưu hóa cho việc sử dụng trên thiết bị di động, vì vậy bạn có thể học khi đang di chuyển, mọi lúc, mọi nơi.
What's new in the latest 15.0
Thông tin APK Engineering Maths 1
Phiên bản cũ của Engineering Maths 1
Engineering Maths 1 15.0
Engineering Maths 1 14.0
Engineering Maths 1 1.13
Engineering Maths 1 1.11
Tải xuống siêu nhanh và an toàn thông qua Ứng dụng APKPure
Một cú nhấp chuột để cài đặt các tệp XAPK/APK trên Android!







