Engineering Maths 1 সম্পর্কে
ইঞ্জিনিয়ারিং গণিত: দ্রুত শেখার এবং পুনর্বিবেচনার জন্য সম্পূর্ণ হ্যান্ডবুক
এই বিনামূল্যে, ব্যাপক মোবাইল অ্যাপের সাথে ইঞ্জিনিয়ারিং গণিত!
ইঞ্জিনিয়ারিং স্টুডেন্টদের জন্য ডিজাইন করা, এই অ্যাপটি 80টি প্রয়োজনীয় বিষয় বিস্তারিতভাবে কভার করে, 5টি অধ্যায় জুড়ে বিস্তৃত, এটি পরীক্ষা বা সাক্ষাত্কারের জন্য শেখার, পুনর্বিবেচনা এবং প্রস্তুতির জন্য আপনার চূড়ান্ত সঙ্গী করে তোলে।
স্পষ্ট ব্যাখ্যা, ডায়াগ্রাম, সমীকরণ এবং সূত্র সহ, এই অ্যাপটি মূল গাণিতিক ধারণাগুলির গভীরভাবে বোঝার প্রস্তাব দেয়। আপনি পরীক্ষার জন্য অধ্যয়ন করছেন বা অ্যাসাইনমেন্টের সময় দ্রুত রেফারেন্সের প্রয়োজন হোক না কেন, এই অ্যাপটি আপনাকে গুরুত্বপূর্ণ বিষয়গুলি দ্রুত আয়ত্ত করতে সহায়তা করবে।
মূল বৈশিষ্ট্য:
80টি বিষয়ের সম্পূর্ণ কভারেজ: বিশদ নোট, ব্যাখ্যা, এবং উদাহরণগুলি সমস্ত প্রয়োজনীয় ইঞ্জিনিয়ারিং গণিত বিষয়গুলিকে কভার করে৷
5 ভাল-গঠিত অধ্যায়: পদ্ধতিগত শিক্ষার জন্য সংগঠিত বিষয়বস্তু।
পরিষ্কার ডায়াগ্রাম এবং সূত্র: সহজ বোঝার জন্য ভিজ্যুয়াল এইডস এবং প্রয়োজনীয় গাণিতিক সূত্র।
দ্রুত শিক্ষার জন্য অপ্টিমাইজ করা: পরীক্ষার পুনর্বিবেচনা, সাক্ষাত্কারের জন্য বা দ্রুত রেফারেন্স গাইড হিসাবে আদর্শ।
মোবাইল-বান্ধব ইন্টারফেস: সহজে নেভিগেশন এবং দেখার জন্য ডিজাইন করা হয়েছে, মোবাইল ডিভাইসের জন্য অপ্টিমাইজ করা হয়েছে।
সহজে ব্যবহারযোগ্য ইন্টারফেস: একটি ব্যবহারকারী-বান্ধব অভিজ্ঞতা যা শেখার সহজ এবং কার্যকরী করে তোলে।
কভার করা বিষয়:
লিবনিৎজ উপপাদ্য
লাইবনিটজ থিওরেমের সমস্যা
ডিফারেনশিয়াল ক্যালকুলাস-I
বক্রতা ব্যাসার্ধ
প্যারামেট্রিক আকারে বক্রতার ব্যাসার্ধ
বক্রতার ব্যাসার্ধে সমস্যা
মেরু আকারে বক্রতার ব্যাসার্ধ
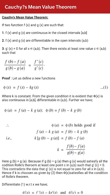
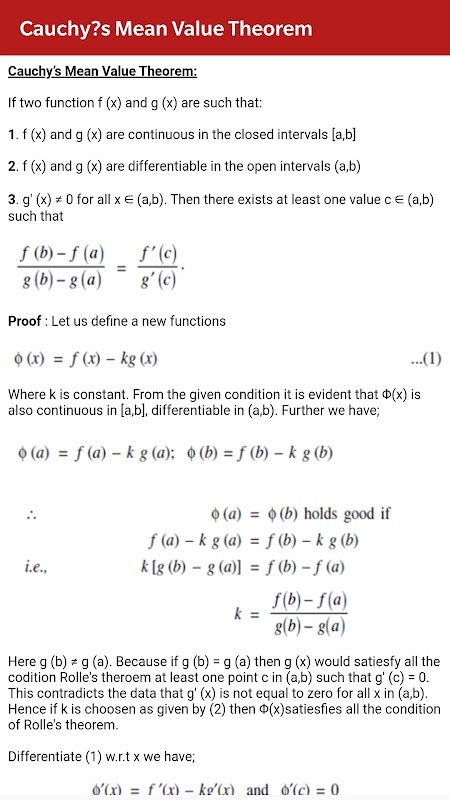
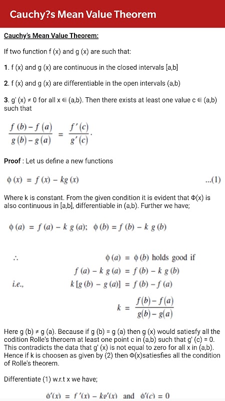
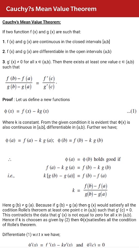
কচির গড় মান উপপাদ্য
টেলরের উপপাদ্য
মৌলিক তত্ত্বের সমস্যা
আংশিক ডেরিভেটিভস
অয়লার-ল্যাগ্রেঞ্জ সমীকরণ
কার্ভ ট্রেসিং
পরিবর্তনশীল উপপাদ্যের পরিবর্তন
ডিফারেনশিয়াল ক্যালকুলাস I এর সমস্যা
অনির্দিষ্ট ফর্ম
L'Hospital এর নিয়মে সমস্যা
বিভিন্ন অনিশ্চিত ফর্ম
বিভিন্ন অনির্দিষ্ট ফর্মের সমস্যা
দুটি ভেরিয়েবলের কাজের জন্য টেলরের উপপাদ্য
টেলরের থিওরেমের সমস্যা
দুটি ভেরিয়েবলের ফাংশনের ম্যাক্সিমা এবং মিনিমা
দুটি ভেরিয়েবলের ফাংশনের ম্যাক্সিমা এবং মিনিমার সমস্যা
অনির্ধারিত গুণকগুলির ল্যাগ্রেঞ্জের পদ্ধতি
ল্যাগ্রেঞ্জের পদ্ধতিতে সমস্যা
পোলার কার্ভস
পোলার কার্ভের সমস্যা
রূপান্তরের জ্যাকোবিয়ান
বেশ কিছু ভেরিয়েবলের ফাংশনের এক্সট্রিমা
ডিফারেনশিয়াল ক্যালকুলাস II এর সমস্যা
একাধিক অখণ্ড
একাধিক ইন্টিগ্রেলের সমস্যা
একীকরণের ক্রম পরিবর্তন করে ডাবল ইন্টিগ্রাল
এলাকা এবং আয়তনের জন্য অ্যাপ্লিকেশন
এলাকা এবং ভলিউমের অ্যাপ্লিকেশনে সমস্যা
বিটা এবং গামা ফাংশন
বিটা এবং গামা ফাংশনের মধ্যে সম্পর্ক
বিটা এবং গামা ফাংশনে সমস্যা
ডিরিচলেট ইন্টিগ্রাল
ডিরিচলেট ইন্টিগ্রাল এবং ফুরিয়ার সিরিজ
ডিরিচলেট ইন্টিগ্রালের সমস্যা
ট্রিপল ইন্টিগ্রেল
নলাকার স্থানাঙ্ক ব্যবহার করে ট্রিপল ইন্টিগ্রেল
Integrals এর সমস্যা
Integrals বিষয়ে উদ্দেশ্যমূলক প্রশ্ন
ভেক্টর ফাংশন
ভেক্টর লাইন ইন্টিগ্রাল
সবুজের উপপাদ্য
গাউস ডাইভারজেন্স থিওরেম
স্টোকের উপপাদ্য
সারফেস এবং ভলিউম ইন্টিগ্রেল
ইন্টিগ্রালস থিওরেমের সমস্যা
ভেক্টরের দিকনির্দেশক ডেরিভেটিভ
ভেক্টর গ্রেডিয়েন্ট
লাইন ইন্টিগ্রালের উপপাদ্য
অর্থোগোনাল কার্ভিলিনিয়ার স্থানাঙ্ক
ডিফারেনশিয়াল অপারেটর
ভেক্টরের বিচ্যুতি
ভেক্টরের কার্ল
ভেক্টর ক্যালকুলাসের সমস্যা
Matrices পরিচিতি
ম্যাট্রিক্সের বৈশিষ্ট্য
স্কেলার গুণন
ম্যাট্রিক্স গুণ
ম্যাট্রিক্সের স্থানান্তর
ননসিঙ্গুলার ম্যাট্রিক্স
ম্যাট্রিক্সের এচেলন ফর্ম
নির্ধারক
নির্ধারকদের বৈশিষ্ট্য
রৈখিক সমীকরণের সিস্টেম
একটি লিনিয়ার সিস্টেমের সমাধান
বিপরীত পদ্ধতি দ্বারা লিনিয়ার সিস্টেমের সমাধান
ম্যাট্রিক্সের র্যাঙ্ক এবং ট্রেস
কেলি-হ্যামিল্টন উপপাদ্য
Eigenvalues এবং Eigenvectors
Eigenvalues এবং Eigenvectors খোঁজার পদ্ধতি
কেন আপনার এই অ্যাপটি দরকার:
বিস্তৃত কভারেজ: আপনি শুধু শুরু করছেন বা সংশোধন করছেন না কেন, এই অ্যাপটি ইঞ্জিনিয়ারিং গণিতের জন্য আপনার প্রয়োজনীয় সবকিছু কভার করে।
পরীক্ষার বিষয়গুলিতে ফোকাস করুন: আপনাকে আত্মবিশ্বাসের সাথে পরীক্ষার জন্য প্রস্তুত করতে সাহায্য করার জন্য মূল ধারণা এবং বিষয়গুলি বিশদভাবে কভার করা হয়েছে।
বিশদ ব্যাখ্যা: গভীরতর নোট এবং সমস্যা সমাধানের উদাহরণগুলি জটিল বিষয়গুলিকে বোঝা সহজ করে তোলে।
দ্রুত রেফারেন্সের জন্য পারফেক্ট: একটি ধারণার উপর ব্রাশ আপ করতে হবে? এই অ্যাপটি আপনাকে দ্রুত রেফারেন্স এবং রিভিশনের জন্য নিখুঁত করে, সমস্ত বিষয়ে দ্রুত অ্যাক্সেস দেয়।
যেকোনো জায়গায় অধ্যয়ন করুন: মোবাইল ব্যবহারের জন্য অপ্টিমাইজ করা হয়েছে, যাতে আপনি যেতে যেতে, যে কোনও সময়, যে কোনও জায়গায় অধ্যয়ন করতে পারেন৷
What's new in the latest 15.0
Engineering Maths 1 APK Information
Engineering Maths 1 এর পুরানো সংস্করণ
Engineering Maths 1 15.0
Engineering Maths 1 14.0
Engineering Maths 1 1.13
Engineering Maths 1 1.11
APKPure অ্যাপের মাধ্যমে অতি দ্রুত এবং নিরাপদ ডাউনলোড করা হচ্ছে
Android-এ XAPK/APK ফাইল ইনস্টল করতে এক-ক্লিক করুন!







