Informazioni su Engineering Maths 1
Ingegneria matematica: manuale completo per un rapido apprendimento e revisione
Ingegneria Matematica con questa app mobile gratuita e completa!
Progettata per gli studenti di ingegneria, questa app copre in dettaglio 80 argomenti essenziali, distribuiti in 5 capitoli, rendendola la compagna ideale per l'apprendimento, la revisione e la preparazione per esami o colloqui.
Con spiegazioni, diagrammi, equazioni e formule chiare, questa app offre una comprensione approfondita dei concetti matematici chiave. Che tu stia studiando per gli esami o abbia bisogno di un rapido riferimento durante i compiti, questa app ti aiuterà a padroneggiare rapidamente argomenti critici.
Caratteristiche principali:
Copertura completa di 80 argomenti: note dettagliate, spiegazioni ed esempi che coprono tutti gli argomenti essenziali di ingegneria matematica.
5 capitoli ben strutturati: contenuti organizzati per un apprendimento sistematico.
Diagrammi e formule chiari: aiuti visivi e formule matematiche essenziali per una più facile comprensione.
Ottimizzato per un apprendimento rapido: ideale per la revisione degli esami, i colloqui o come guida di riferimento rapido.
Interfaccia ottimizzata per dispositivi mobili: progettata per una facile navigazione e visualizzazione, ottimizzata per i dispositivi mobili.
Interfaccia facile da usare: un'esperienza intuitiva che rende l'apprendimento semplice ed efficace.
Argomenti trattati:
Teorema di Leibniz
Problemi sul teorema di Leibnitz
Calcolo differenziale-I
Raggio di curvatura
Raggio di curvatura in forma parametrica
Problemi sul raggio di curvatura
Raggio di curvatura in forma polare
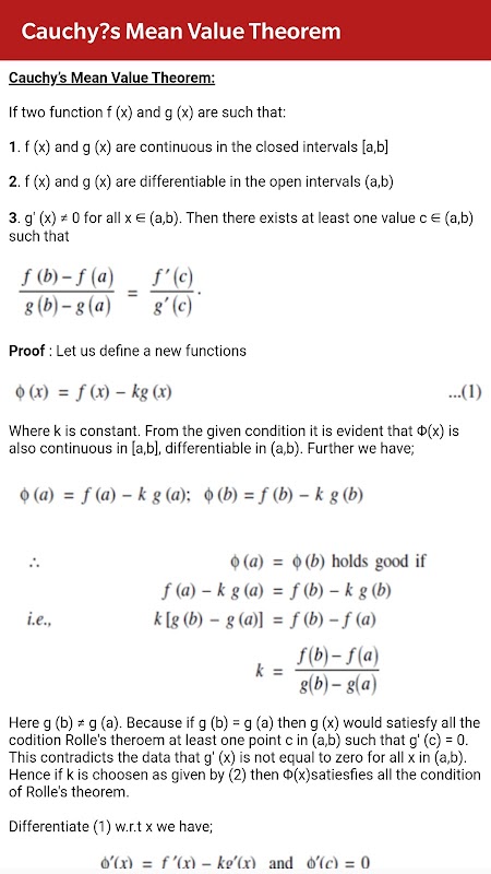
Teorema del valore medio di Cauchy
Teorema di Taylor
Problemi sul Teorema Fondamentale
Derivati parziali
Equazione di Eulero-Lagrange
Tracciamento della curva
Teorema del cambiamento di variabile
Problemi sul calcolo differenziale I
Forme indeterminate
Problemi sulla regola de L'Hospital
Varie forme indeterminate
Problemi su varie forme indeterminate
Teorema di Taylor per funzioni di due variabili
Problemi sul teorema di Taylor
Massimi e minimi di funzioni di due variabili
Problemi sui massimi e minimi di funzioni di due variabili
Metodo dei moltiplicatori indeterminati di Lagrange
Problemi sul metodo di Lagrange
Curve polari
Problemi sulle curve polari
Jacobiano della trasformazione
Estremi di funzioni di più variabili
Problemi di calcolo differenziale II
Integrali multipli
Problemi su integrali multipli
Doppio integrale modificando l'ordine di integrazione
Applicazioni ad Area e Volume
Problemi sulle applicazioni ad area e volume
Funzioni Beta e Gamma
Relazione tra funzioni Beta e Gamma
Problemi sulle funzioni Beta e Gamma
Integrale di Dirichlet
Integrale di Dirichlet e serie di Fourier
Problemi sugli integrali di Dirichlet
Tripli integrali
Integrali tripli utilizzando coordinate cilindriche
Problemi sugli integrali
Domande oggettive sugli integrali
Funzioni vettoriali
Integrale della linea vettoriale
Teorema di Green
Teorema della divergenza di Gauss
Il teorema di Stoke
Integrali di superficie e di volume
Problemi sul Teorema degli Integrali
Derivata direzionale del vettore
Gradiente vettoriale
Teorema dell'integrale di linea
Coordinate curvilinee ortogonali
Operatori differenziali
Divergenza del vettore
Ricciolo del vettore
Problemi di calcolo vettoriale
Introduzione alle matrici
Proprietà delle matrici
Moltiplicazione scalare
Moltiplicazione di matrici
Trasposizione di Matrix
Matrice non singolare
Forma Echelon di Matrix
Determinanti
Proprietà dei determinanti
Sistema di equazioni lineari
Soluzione di un sistema lineare
Soluzione del sistema lineare con il metodo inverso
Rango e traccia di Matrix
Teorema di Cayley-Hamilton
Autovalori e autovettori
Metodo per trovare autovalori e autovettori
Perché hai bisogno di questa app:
Copertura completa: che tu stia appena iniziando o rivedendo, questa app copre tutto ciò di cui hai bisogno per Ingegneria Matematica.
Focus sugli argomenti dell'esame: concetti e argomenti chiave vengono trattati in dettaglio per aiutarti a prepararti per gli esami con sicurezza.
Spiegazioni dettagliate: note approfondite ed esempi di risoluzione dei problemi facilitano la comprensione di argomenti complessi.
Perfetto per una consultazione rapida: hai bisogno di rispolverare un concetto? Questa app ti offre un rapido accesso a tutti gli argomenti, rendendola perfetta per una rapida consultazione e revisioni.
Studia ovunque: ottimizzato per l'uso mobile, così puoi studiare ovunque, sempre e ovunque.
What's new in the latest 15.0
Informazioni sull'APK Engineering Maths 1
Vecchie versioni di Engineering Maths 1
Engineering Maths 1 15.0
Engineering Maths 1 14.0
Engineering Maths 1 1.13
Engineering Maths 1 1.11
Download super veloce e sicuro tramite l'app APKPure
Basta un clic per installare i file XAPK/APK su Android!







