Engineering Maths 1 hakkında
Mühendislik Matematiği: Hızlı Öğrenme ve Revizyon için Tam El Kitabı
Bu ücretsiz, kapsamlı mobil uygulamayla Mühendislik Matematiği!
Mühendislik öğrencileri için tasarlanan bu uygulama, 5 bölüme yayılmış 80 temel konuyu ayrıntılı olarak kapsamakta olup, onu öğrenmek, gözden geçirmek ve sınavlara veya mülakatlara hazırlanmak için en iyi arkadaşınız haline getirmektedir.
Açık açıklamalar, diyagramlar, denklemler ve formüllerle bu uygulama, temel matematik kavramlarının derinlemesine anlaşılmasını sağlar. İster sınavlara çalışıyor olun ister ödevler sırasında hızlı bir referansa ihtiyaç duyuyor olun, bu uygulama kritik konularda hızla uzmanlaşmanıza yardımcı olacaktır.
Temel Özellikler:
80 Konunun Tam Kapsamı: Tüm temel Mühendislik Matematiği konularını kapsayan ayrıntılı notlar, açıklamalar ve örnekler.
5 İyi Yapılandırılmış Bölüm: Sistematik öğrenme için düzenlenmiş içerik.
Anlaşılır Diyagramlar ve Formüller: Daha kolay anlaşılması için görsel yardımlar ve temel matematiksel formüller.
Hızlı Öğrenme için Optimize Edilmiştir: Sınav revizyonları, röportajlar veya hızlı başvuru kılavuzu olarak idealdir.
Mobil Uyumlu Arayüz: Kolay gezinme ve görüntüleme için tasarlanmış, mobil cihazlar için optimize edilmiştir.
Kullanımı Kolay Arayüz: Öğrenmeyi basit ve etkili hale getiren kullanıcı dostu bir deneyim.
Kapsanan Konular:
Leibnitz Teoremi
Leibnitz Teoremiyle İlgili Sorunlar
Diferansiyel Hesap-I
Eğrilik Yarıçapı
Parametrik Formda Eğrilik Yarıçapı
Eğrilik Yarıçapı ile İlgili Sorunlar
Kutupsal Formda Eğrilik Yarıçapı
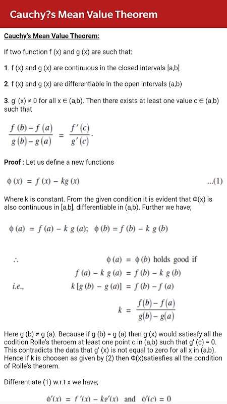
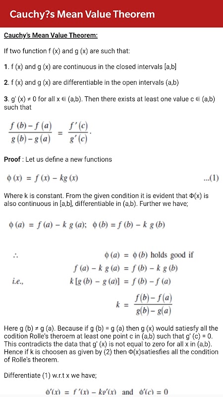
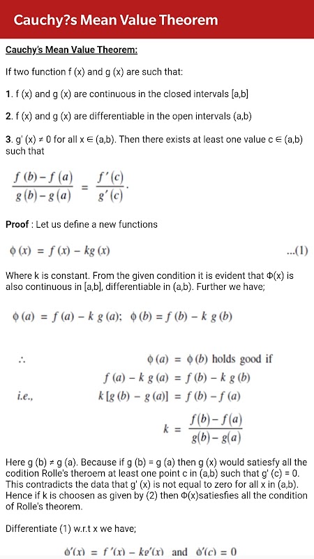
Cauchy'nin Ortalama Değer Teoremi
Taylor Teoremi
Temel Teorem Sorunları
Kısmi Türevler
Euler-Lagrange Denklemi
Eğri İzleme
Değişken Teoremin Değişimi
Diferansiyel Hesapta Problemler I
Belirsiz Formlar
L'Hospital Kuralına İlişkin Sorunlar
Çeşitli Belirsiz Formlar
Çeşitli Belirsiz Formlardaki Sorunlar
İki Değişkenli Fonksiyonlar için Taylor Teoremi
Taylor Teoremiyle İlgili Sorunlar
İki Değişkenli Fonksiyonların Maksimum ve Minimumları
İki Değişkenli Fonksiyonların Maksimum ve Minimumları ile İlgili Problemler
Lagrange'ın Belirsiz Çarpanlar Yöntemi
Lagrange Yöntemiyle İlgili Sorunlar
Kutup Eğrileri
Kutup Eğrileriyle İlgili Sorunlar
Dönüşümün Jacobian'ı
Çok Değişkenli Fonksiyonların Ekstrem Değerleri
Diferansiyel Hesapta Problemler II
Çoklu İntegraller
Çoklu İntegrallerle İlgili Problemler
İntegral Sırasını Değiştirerek Çift İntegral
Alan ve Hacim Uygulamaları
Alan ve Hacim Uygulamalarındaki Sorunlar
Beta ve Gama Fonksiyonları
Beta ve Gama Fonksiyonları Arasındaki İlişki
Beta ve Gama Fonksiyonlarıyla İlgili Sorunlar
Dirichlet İntegrali
Dirichlet İntegrali ve Fourier Serisi
Dirichlet İntegralleri ile İlgili Problemler
Üçlü İntegraller
Silindirik Koordinatları Kullanan Üçlü İntegraller
İntegrallerle İlgili Problemler
İntegrallerle İlgili Objektif Sorular
Vektör Fonksiyonları
Vektör Çizgi İntegrali
Green Teoremi
Gauss Diverjans Teoremi
Stoke Teoremi
Yüzey ve Hacim İntegralleri
İntegral Teoremiyle İlgili Problemler
Vektörün Yönlü Türevi
Vektör Gradyanı
Çizgi İntegrali Teoremi
Ortogonal Eğrisel Koordinatlar
Diferansiyel Operatörler
Vektörün Sapması
Vektör Kıvrımı
Vektör Hesabıyla İlgili Sorunlar
Matrislere Giriş
Matrislerin Özellikleri
Skaler Çarpma
Matris Çarpımı
Matrisin Transpozu
Tekil Olmayan Matris
Matrisin Echelon Formu
Belirleyiciler
Determinantların Özellikleri
Doğrusal Denklem Sistemi
Doğrusal Sistemin Çözümü
Doğrusal Sistemin Ters Yöntemle Çözümü
Matrix'in Sıralaması ve İzi
Cayley-Hamilton Teoremi
Özdeğerler ve Özvektörler
Özdeğer ve Özvektörleri Bulma Yöntemi
Bu Uygulamaya Neden İhtiyacınız Var:
Kapsamlı Kapsam: İster yeni başlıyor olun ister revize ediyor olun, bu uygulama Mühendislik Matematiği için ihtiyacınız olan her şeyi kapsar.
Sınav Konularına Odaklanın: Sınavlara güvenle hazırlanmanıza yardımcı olmak için temel kavramlar ve konular ayrıntılı olarak ele alınmaktadır.
Ayrıntılı Açıklamalar: Derinlemesine notlar ve problem çözme örnekleri, karmaşık konuların anlaşılmasını kolaylaştırır.
Hızlı Başvuru İçin Mükemmel: Bir konsepti tazelemeniz mi gerekiyor? Bu uygulama tüm konulara hızlı erişim sağlar ve bu da onu hızlı referans ve düzeltmeler için mükemmel kılar.
Her Yerde Çalışın: Hareket halindeyken, istediğiniz zaman, istediğiniz yerde çalışabilmeniz için mobil kullanım için optimize edilmiştir.
What's new in the latest 15.0
Engineering Maths 1 APK Bilgileri
Engineering Maths 1'in eski sürümleri
Engineering Maths 1 15.0
Engineering Maths 1 14.0
Engineering Maths 1 1.13
Engineering Maths 1 1.11
APK Uygulaması ile Süper Hızlı ve Güvenli İndirme
XAPK/APK dosyalarını Android'e yüklemek için tek tıkla!







