Tentang Engineering Maths 1
Matematika Teknik: Buku Pegangan Lengkap untuk Pembelajaran Cepat dan Revisi
Matematika Teknik dengan aplikasi seluler gratis dan komprehensif ini!
Dirancang untuk mahasiswa teknik, aplikasi ini mencakup 80 topik penting secara mendetail, tersebar di 5 bab, menjadikannya teman utama Anda untuk belajar, merevisi, dan mempersiapkan ujian atau wawancara.
Dengan penjelasan, diagram, persamaan, dan rumus yang jelas, aplikasi ini menawarkan pemahaman mendalam tentang konsep-konsep matematika utama. Baik Anda sedang belajar untuk ujian atau memerlukan referensi cepat selama mengerjakan tugas, aplikasi ini akan membantu Anda menguasai topik-topik penting dengan cepat.
Fitur Utama:
Cakupan Lengkap 80 Topik: Catatan terperinci, penjelasan, dan contoh yang mencakup semua topik penting Matematika Teknik.
5 Bab Terstruktur dengan Baik: Konten terorganisir untuk pembelajaran sistematis.
Diagram & Rumus yang Jelas: Alat bantu visual dan rumus matematika penting untuk memudahkan pemahaman.
Dioptimalkan untuk Pembelajaran Cepat: Ideal untuk revisi ujian, wawancara, atau sebagai panduan referensi cepat.
Antarmuka Ramah Seluler: Dirancang untuk navigasi dan tampilan yang mudah, dioptimalkan untuk perangkat seluler.
Antarmuka yang Mudah Digunakan: Pengalaman ramah pengguna yang membuat pembelajaran menjadi sederhana dan efektif.
Topik yang Dicakup:
Teorema Leibnitz
Masalah pada Teorema Leibnitz
Kalkulus Diferensial-I
Jari-jari Kelengkungan
Jari-jari Kelengkungan dalam Bentuk Parametrik
Masalah pada Radius Kelengkungan
Jari-jari Kelengkungan dalam Bentuk Kutub
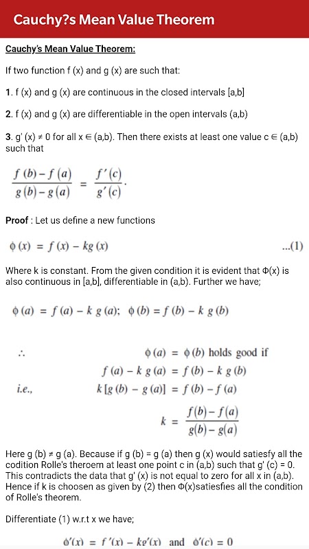
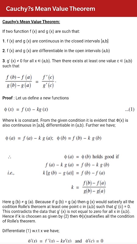
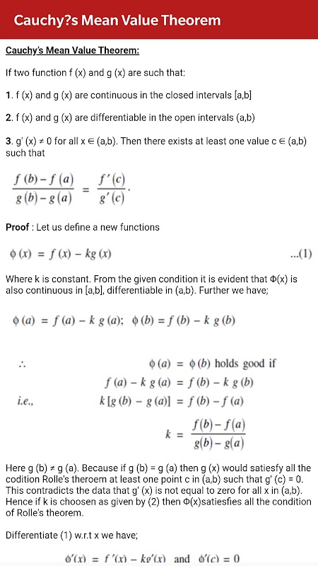
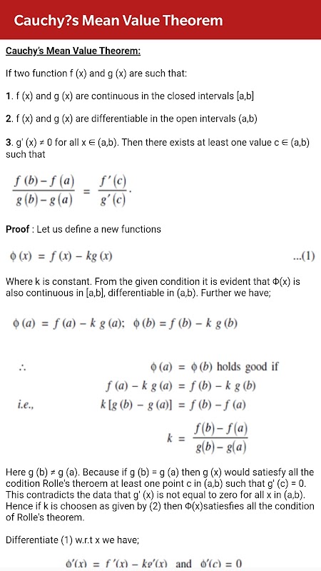
Teorema Nilai Rata-rata Cauchy
Teorema Taylor
Soal Teorema Fundamental
Derivatif Parsial
Persamaan Euler-Lagrange
Penelusuran Kurva
Teorema Perubahan Variabel
Soal Kalkulus Diferensial I
Bentuk Tak tentu
Masalah pada Aturan L'Hospital
Berbagai Bentuk Tak Tentu
Permasalahan pada Berbagai Bentuk Tak Tentu
Teorema Taylor untuk Fungsi Dua Variabel
Masalah pada Teorema Taylor
Maxima dan Minima Fungsi Dua Variabel
Soal Maksimum dan Minima Fungsi Dua Variabel
Metode Pengganda Tak Tertentu Lagrange
Masalah pada Metode Lagrange
Kurva Kutub
Masalah pada Kurva Kutub
Jacobian Transformasi
Ekstrem Fungsi Beberapa Variabel
Soal Kalkulus Diferensial II
Integral Berganda
Soal Integral Berganda
Integral Ganda dengan Mengubah Urutan Integral
Penerapan pada Area dan Volume
Masalah Penerapan pada Luas dan Volume
Fungsi Beta dan Gamma
Hubungan Antara Fungsi Beta dan Gamma
Masalah pada Fungsi Beta dan Gamma
Integral Dirichlet
Deret Integral dan Fourier Dirichlet
Masalah pada Integral Dirichlet
Integral Tiga
Integral Rangkap Tiga Menggunakan Koordinat Silinder
Masalah pada Integral
Pertanyaan Objektif tentang Integral
Fungsi Vektor
Integral Garis Vektor
Teorema Hijau
Teorema Divergensi Gauss
Teorema Stoke
Integral Permukaan dan Volume
Soal Teorema Integral
Turunan Arah Vektor
Gradien Vektor
Teorema Integral Garis
Koordinat Lengkung Ortogonal
Operator Diferensial
Divergensi Vektor
Ikal Vektor
Masalah pada Kalkulus Vektor
Pengantar Matriks
Sifat-sifat Matriks
Perkalian Skalar
Perkalian Matriks
Transpos Matriks
Matriks Nonsingular
Bentuk Matriks Eselon
Penentu
Sifat-sifat Penentu
Sistem Persamaan Linier
Penyelesaian Sistem Linier
Penyelesaian Sistem Linier dengan Metode Invers
Pangkat dan Jejak Matriks
Teorema Cayley-Hamilton
Nilai Eigen dan Vektor Eigen
Metode Mencari Nilai Eigen dan Vektor Eigen
Mengapa Anda Membutuhkan Aplikasi Ini:
Cakupan Komprehensif: Baik Anda baru memulai atau merevisi, aplikasi ini mencakup semua yang Anda butuhkan untuk Matematika Teknik.
Fokus pada Topik Ujian: Konsep dan topik utama dibahas secara rinci untuk membantu Anda mempersiapkan ujian dengan percaya diri.
Penjelasan Mendetail: Catatan mendalam dan contoh pemecahan masalah membuat topik kompleks lebih mudah dipahami.
Sempurna untuk Referensi Cepat: Perlu memoles sebuah konsep? Aplikasi ini memberi Anda akses cepat ke semua topik, menjadikannya sempurna untuk referensi dan revisi cepat.
Belajar Di Mana Saja: Dioptimalkan untuk penggunaan seluler, sehingga Anda dapat belajar saat bepergian, kapan saja, di mana saja.
What's new in the latest 15.0
Informasi APK Engineering Maths 1
Versi lama Engineering Maths 1
Engineering Maths 1 15.0
Engineering Maths 1 14.0
Engineering Maths 1 1.13
Engineering Maths 1 1.11
Pengunduhan Super cepat dan aman melalui aplikasi APKPure
Sekali klik untuk menginstal file XAPK/APK di Android!







