Oписание Engineering Maths 1
Инженерная математика: Полный справочник для быстрого изучения и повторения
Инженерная математика с этим бесплатным комплексным мобильным приложением!
Это приложение, созданное для студентов-инженеров, подробно охватывает 80 основных тем, распределенных по 5 главам, что делает его вашим незаменимым помощником в обучении, повторении и подготовке к экзаменам или собеседованиям.
Благодаря четким объяснениям, диаграммам, уравнениям и формулам это приложение предлагает глубокое понимание ключевых математических концепций. Готовитесь ли вы к экзаменам или нуждаетесь в быстрой справке во время выполнения заданий, это приложение поможет вам быстро освоить важные темы.
Ключевые особенности:
Полное освещение 80 тем: подробные примечания, объяснения и примеры, охватывающие все основные темы инженерной математики.
5 хорошо структурированных глав: организованный контент для систематического обучения.
Четкие диаграммы и формулы: наглядные пособия и основные математические формулы для облегчения понимания.
Оптимизирован для быстрого обучения: идеально подходит для повторения экзаменов, собеседований или в качестве краткого справочного руководства.
Мобильный интерфейс: разработан для удобной навигации и просмотра, оптимизирован для мобильных устройств.
Простой в использовании интерфейс: удобный интерфейс, который делает обучение простым и эффективным.
Затронутые темы:
Теорема Лейбница
Задачи по теореме Лейбница
Дифференциальное исчисление-I
Радиус кривизны
Радиус кривизны в параметрической форме
Задачи на радиус кривизны
Радиус кривизны в полярной форме
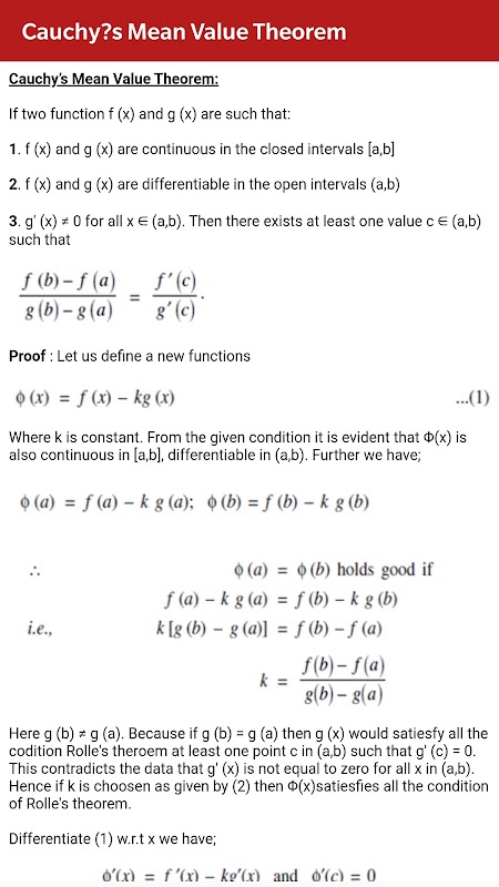
Теорема Коши о среднем значении
Теорема Тейлора
Задачи по фундаментальной теореме
Частные производные
Уравнение Эйлера-Лагранжа
Трассировка кривых
Теорема о замене переменной
Задачи по дифференциальному исчислению I
Неопределенные формы
Проблемы по правилу Лопиталя
Различные неопределенные формы
Задачи о различных неопределенных формах
Теорема Тейлора для функций двух переменных
Проблемы по теореме Тейлора
Максимумы и минимумы функций двух переменных
Задачи о максимумах и минимумах функций двух переменных
Метод неопределенных множителей Лагранжа.
Задачи по методу Лагранжа
Полярные кривые
Проблемы с полярными кривыми
Якобиан трансформации
Экстремумы функций многих переменных
Задачи по дифференциальному исчислению II
Множественные интегралы
Задачи о кратных интегралах
Двойной интеграл путем изменения порядка интегрирования
Приложения к площади и объему
Задачи о приложениях к площади и объему
Бета- и гамма-функции
Связь между бета- и гамма-функциями
Задачи о бета- и гамма-функциях
Интеграл Дирихле
Интеграл Дирихле и ряд Фурье
Задачи об интегралах Дирихле.
Тройные интегралы
Тройные интегралы с использованием цилиндрических координат
Задачи об интегралах
Объективные вопросы об интегралах
Векторные функции
Интеграл векторной линии
Теорема Грина
Теорема о дивергенции Гаусса
Теорема Стокса
Поверхностные и объемные интегралы
Задачи по интегралам Теорема
Производная вектора по направлению
Векторный градиент
Теорема линейного интеграла
Ортогональные криволинейные координаты
Дифференциальные операторы
Расхождение вектора
Завиток вектора
Задачи по векторному исчислению
Введение в матрицы
Свойства матриц
Скалярное умножение
Матричное умножение
Транспонирование матрицы
Невырожденная матрица
Эшелонная форма матрицы
Детерминанты
Свойства определителей.
Система линейных уравнений
Решение линейной системы
Решение линейной системы обратным методом
Ранг и след матрицы
Теорема Кэли-Гамильтона
Собственные значения и собственные векторы
Метод нахождения собственных значений и собственных векторов
Почему вам нужно это приложение:
Всеобъемлющий охват: независимо от того, начинаете ли вы или продолжаете изучение, это приложение охватывает все, что вам нужно для инженерной математики.
Сосредоточьтесь на темах экзамена: ключевые понятия и темы подробно освещены, чтобы помочь вам уверенно подготовиться к экзаменам.
Подробные пояснения: подробные примечания и примеры решения проблем облегчают понимание сложных тем.
Идеально подходит для быстрого ознакомления: нужно освежить в памяти концепцию? Это приложение дает вам быстрый доступ ко всем темам, что делает его идеальным для быстрого ознакомления и внесения изменений.
Обучайтесь где угодно: оптимизировано для использования на мобильных устройствах, поэтому вы можете учиться в дороге, в любое время и в любом месте.
Что нового в последней версии 15.0
Информация Engineering Maths 1 APK
Старые Версии Engineering Maths 1
Engineering Maths 1 15.0
Engineering Maths 1 14.0
Engineering Maths 1 1.13
Engineering Maths 1 1.11
Супер Быстрая и Безопасная Загрузка через Приложение APKPure
Один клик для установки XAPK/APK файлов на Android!







