O Engineering Maths 1
Matematyka inżynierska: kompletny podręcznik do szybkiej nauki i powtórek
Inżynieria matematyki dzięki tej bezpłatnej, wszechstronnej aplikacji mobilnej!
Ta aplikacja, przeznaczona dla studentów inżynierii, szczegółowo omawia 80 podstawowych tematów podzielonych na 5 rozdziałów, co czyni ją najlepszym towarzyszem w nauce, powtórkach i przygotowaniach do egzaminów lub rozmów kwalifikacyjnych.
Dzięki przejrzystym objaśnieniom, diagramom, równaniom i wzorom ta aplikacja zapewnia dogłębne zrozumienie kluczowych pojęć matematycznych. Niezależnie od tego, czy uczysz się do egzaminów, czy potrzebujesz szybkiego odniesienia podczas zadań, ta aplikacja pomoże Ci szybko opanować najważniejsze tematy.
Kluczowe funkcje:
Pełne omówienie 80 tematów: szczegółowe notatki, wyjaśnienia i przykłady obejmujące wszystkie istotne tematy matematyki inżynierskiej.
5 dobrze zorganizowanych rozdziałów: uporządkowana treść umożliwiająca systematyczną naukę.
Przejrzyste diagramy i formuły: Pomoce wizualne i niezbędne wzory matematyczne ułatwiające zrozumienie.
Zoptymalizowany do szybkiej nauki: Idealny do powtórek egzaminów, rozmów kwalifikacyjnych lub jako skrócony przewodnik.
Interfejs przyjazny dla urządzeń mobilnych: Zaprojektowany z myślą o łatwej nawigacji i przeglądaniu, zoptymalizowany pod kątem urządzeń mobilnych.
Łatwy w użyciu interfejs: Przyjazny dla użytkownika interfejs, który sprawia, że nauka jest prosta i skuteczna.
Omawiane tematy:
Twierdzenie Leibnitza
Zagadnienia twierdzenia Leibnitza
Rachunek różniczkowy-I
Promień krzywizny
Promień krzywizny w formie parametrycznej
Problemy dotyczące promienia krzywizny
Promień krzywizny w postaci biegunowej
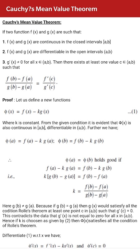
Twierdzenie Cauchy’ego o wartości średniej
Twierdzenie Taylora
Problemy dotyczące podstawowego twierdzenia
Częściowe pochodne
Równanie Eulera-Lagrange'a
Śledzenie krzywych
Zmiana twierdzenia o zmiennej
Zadania rachunku różniczkowego I
Formy nieokreślone
Problemy z regułą L'Hospitala
Różne formy nieokreślone
Zadania dotyczące różnych form nieokreślonych
Twierdzenie Taylora dla funkcji dwóch zmiennych
Zagadnienia dotyczące twierdzenia Taylora
Maksima i minima funkcji dwóch zmiennych
Zagadnienia dotyczące maksimów i minimów funkcji dwóch zmiennych
Metoda nieokreślonych mnożników Lagrange’a
Zagadnienia metody Lagrange’a
Krzywe polarne
Problemy na krzywych polarnych
Jakobian Transformacji
Ekstrema funkcji kilku zmiennych
Zadania rachunku różniczkowego II
Wiele całek
Zadania dotyczące całek wielokrotnych
Całka podwójna poprzez zmianę kolejności całkowania
Zastosowania do powierzchni i objętości
Problemy z zastosowaniami do powierzchni i objętości
Funkcje Beta i Gamma
Związek między funkcjami Beta i Gamma
Problemy z funkcjami Beta i Gamma
Całka Dirichleta
Całka Dirichleta i szereg Fouriera
Problemy z całkami Dirichleta
Całki potrójne
Całki potrójne przy użyciu współrzędnych cylindrycznych
Problemy z całkami
Obiektywne pytania dotyczące całek
Funkcje wektorowe
Całka liniowa wektorowa
Twierdzenie Greena
Twierdzenie Gaussa o rozbieżności
Twierdzenie Stoke'a
Całki powierzchniowe i objętościowe
Zagadnienia twierdzenia o całkach
Kierunkowa pochodna wektora
Gradient wektorowy
Twierdzenie o całce liniowej
Ortogonalne współrzędne krzywoliniowe
Operatory różniczkowe
Rozbieżność wektora
Zwinięcie wektora
Zadania rachunku wektorowego
Wprowadzenie do macierzy
Właściwości macierzy
Mnożenie skalarne
Mnożenie macierzy
Transpozycja macierzy
Macierz nieosobliwa
Eszelonowa postać macierzy
Determinanty
Właściwości wyznaczników
Układ równań liniowych
Rozwiązanie układu liniowego
Rozwiązanie układu liniowego metodą odwrotną
Ranga i ślad macierzy
Twierdzenie Cayleya-Hamiltona
Wartości własne i wektory własne
Metoda znajdowania wartości własnych i wektorów własnych
Dlaczego potrzebujesz tej aplikacji:
Wszechstronny zakres: niezależnie od tego, czy dopiero zaczynasz, czy poprawiasz, ta aplikacja obejmuje wszystko, czego potrzebujesz do matematyki inżynierskiej.
Skoncentruj się na tematach egzaminu: Kluczowe pojęcia i tematy są szczegółowo omówione, aby pomóc Ci pewnie przygotować się do egzaminów.
Szczegółowe wyjaśnienia: szczegółowe notatki i przykłady rozwiązywania problemów ułatwiają zrozumienie złożonych tematów.
Idealny do szybkiego odniesienia: Chcesz odświeżyć koncepcję? Ta aplikacja zapewnia szybki dostęp do wszystkich tematów, dzięki czemu idealnie nadaje się do szybkiego przeglądania i poprawiania.
Ucz się gdziekolwiek: zoptymalizowany do użytku mobilnego, dzięki czemu możesz uczyć się w podróży, zawsze i wszędzie.
What's new in the latest 15.0
Informacje Engineering Maths 1 APK
Stare wersje Engineering Maths 1
Engineering Maths 1 15.0
Engineering Maths 1 14.0
Engineering Maths 1 1.13
Engineering Maths 1 1.11
Superszybkie i bezpieczne pobieranie za pośrednictwem aplikacji APKPure
Jedno kliknięcie, aby zainstalować pliki XAPK/APK na Androidzie!







