Engineering Maths 1
22.3 MB
Taille de fichier
Teen
Android 7.0+
Android OS
À propos de Engineering Maths 1
Mathématiques d'ingénierie : manuel complet pour un apprentissage et une révision rapides
Ingénierie des mathématiques avec cette application mobile gratuite et complète !
Conçue pour les étudiants en ingénierie, cette application couvre en détail 80 sujets essentiels, répartis en 5 chapitres, ce qui en fait votre compagnon ultime pour apprendre, réviser et préparer des examens ou des entretiens.
Avec des explications claires, des diagrammes, des équations et des formules, cette application offre une compréhension approfondie des concepts mathématiques clés. Que vous étudiiez pour des examens ou que vous ayez besoin d'une référence rapide pendant vos devoirs, cette application vous aidera à maîtriser rapidement des sujets critiques.
Principales caractéristiques :
Couverture complète de 80 sujets : notes détaillées, explications et exemples couvrant tous les sujets essentiels en mathématiques de l'ingénierie.
5 chapitres bien structurés : contenu organisé pour un apprentissage systématique.
Diagrammes et formules clairs : aides visuelles et formules mathématiques essentielles pour une compréhension plus facile.
Optimisé pour un apprentissage rapide : idéal pour la révision des examens, les entretiens ou comme guide de référence rapide.
Interface adaptée aux mobiles : conçue pour une navigation et une visualisation faciles, optimisée pour les appareils mobiles.
Interface facile à utiliser : une expérience conviviale qui rend l'apprentissage simple et efficace.
Sujets abordés :
Théorème de Leibnitz
Problèmes sur le théorème de Leibnitz
Calcul différentiel-I
Rayon de courbure
Rayon de courbure sous forme paramétrique
Problèmes sur le rayon de courbure
Rayon de courbure sous forme polaire
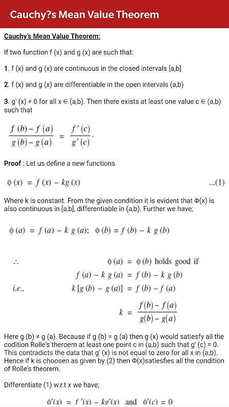
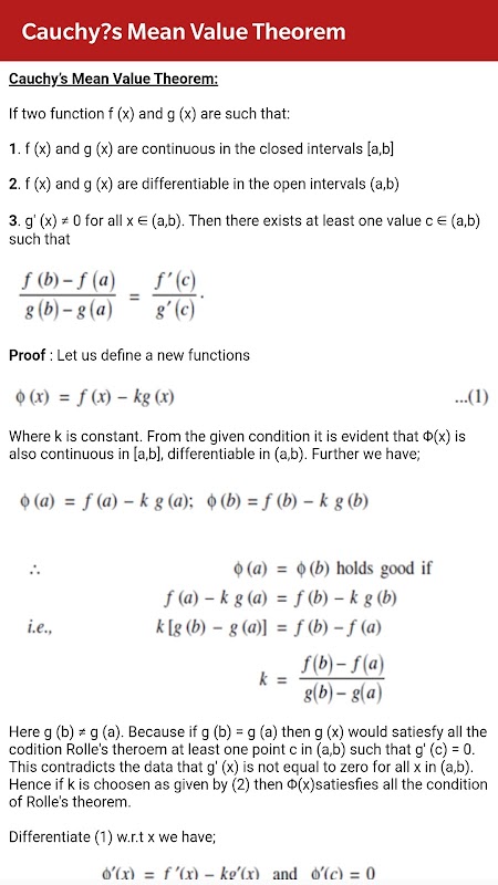
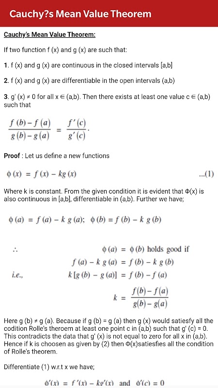
Théorème de la valeur moyenne de Cauchy
Théorème de Taylor
Problèmes sur le théorème fondamental
Dérivées partielles
Équation d'Euler-Lagrange
Traçage de courbe
Théorème de changement de variable
Problèmes de calcul différentiel I
Formes indéterminées
Problèmes sur la règle de L'Hospital
Diverses formes indéterminées
Problèmes sur diverses formes indéterminées
Théorème de Taylor pour les fonctions de deux variables
Problèmes sur le théorème de Taylor
Maxima et minimum des fonctions de deux variables
Problèmes sur les maxima et minima des fonctions de deux variables
Méthode de Lagrange des multiplicateurs indéterminés
Problèmes sur la méthode de Lagrange
Courbes polaires
Problèmes sur les courbes polaires
Jacobien de Transformation
Extréma des fonctions de plusieurs variables
Problèmes de calcul différentiel II
Intégrales multiples
Problèmes sur plusieurs intégrales
Double intégrale en changeant l'ordre d'intégration
Applications à la superficie et au volume
Problèmes sur les applications à la surface et au volume
Fonctions bêta et gamma
Relation entre les fonctions bêta et gamma
Problèmes sur les fonctions Beta et Gamma
Intégrale de Dirichlet
Séries intégrales de Dirichlet et Fourier
Problèmes sur les intégrales de Dirichlet
Triples intégrales
Intégrales triples utilisant des coordonnées cylindriques
Problèmes sur les intégrales
Questions objectives sur les intégrales
Fonctions vectorielles
Intégrale de ligne vectorielle
Théorème de Green
Théorème de divergence de Gauss
Théorème de Stoke
Intégrales de surface et de volume
Problèmes sur le théorème des intégrales
Dérivée directionnelle du vecteur
Dégradé de vecteur
Théorème de l'intégrale de ligne
Coordonnées curvilignes orthogonales
Opérateurs différentiels
Divergence du vecteur
Boucle de vecteur
Problèmes de calcul vectoriel
Introduction aux matrices
Propriétés des matrices
Multiplication scalaire
Multiplication matricielle
Transposition de la matrice
Matrice non singulière
Forme échelonnée de la matrice
Déterminants
Propriétés des déterminants
Système d'équations linéaires
Solution à un système linéaire
Solution au système linéaire par méthode inverse
Rang et trace de la matrice
Théorème de Cayley-Hamilton
Valeurs propres et vecteurs propres
Méthode de recherche de valeurs propres et de vecteurs propres
Pourquoi avez-vous besoin de cette application :
Couverture complète : que vous débutiez ou révisiez, cette application couvre tout ce dont vous avez besoin pour les mathématiques de l'ingénierie.
Concentrez-vous sur les sujets d'examen : les concepts et sujets clés sont abordés en détail pour vous aider à vous préparer aux examens en toute confiance.
Explications détaillées : des notes détaillées et des exemples de résolution de problèmes facilitent la compréhension des sujets complexes.
Parfait pour une référence rapide : Besoin de rafraîchir un concept ? Cette application vous donne un accès rapide à tous les sujets, ce qui la rend parfaite pour une référence et des révisions rapides.
Étudiez n'importe où : optimisé pour une utilisation mobile, afin que vous puissiez étudier en déplacement, à tout moment et en tout lieu.
What's new in the latest 15.0
Informations Engineering Maths 1 APK
Vieilles versions de Engineering Maths 1
Engineering Maths 1 15.0
Engineering Maths 1 14.0
Engineering Maths 1 1.13
Engineering Maths 1 1.11
Téléchargement super rapide et sûr via l'application APKPure
Un clic pour installer les fichiers XAPK/APK sur Android!







