關於Engineering Maths 1
工程數學:快速學習和複習的完整手冊
使用這款免費、全面的行動應用程式學習工程數學!
該應用程式專為工程專業學生設計,詳細涵蓋 80 個基本主題,分為 5 個章節,是您學習、複習和準備考試或面試的終極伴侶。
該應用程式提供清晰的解釋、圖表、方程式和公式,讓您深入了解關鍵的數學概念。無論您是在準備考試還是在作業期間需要快速參考,此應用程式都將幫助您快速掌握關鍵主題。
主要特點:
完整涵蓋 80 個主題:詳細的註釋、解釋和範例,涵蓋所有基本的工程數學主題。
5章結構合理:內容條理清晰,系統學習。
清晰的圖表和公式:視覺輔助工具和基本數學公式,更容易理解。
針對快速學習進行了最佳化:非常適合考試複習、面試或作為快速參考指南。
行動友善介面:專為輕鬆導航和檢視而設計,並針對行動裝置進行了最佳化。
易於使用的介面:使用者友善的體驗使學習變得簡單而有效。
涵蓋的主題:
萊布尼茲定理
萊布尼茲定理問題
微分學-I
曲率半徑
參數形式的曲率半徑
曲率半徑問題
極座標形式的曲率半徑
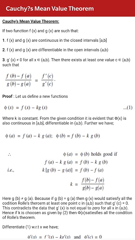
柯西中值定理
泰勒定理
基本定理問題
偏導數
歐拉-拉格朗日方程
曲線追蹤
變數定理的變化
微分學問題 I
不定形式
洛必達規則存在的問題
各種不定形式
各種不定形式的問題
二變數函數的泰勒定理
泰勒定理問題
二變量函數的最大值和最小值
二變量函數的極大值和極小值問題
拉格朗日待定乘法
拉格朗日法的問題
極座標曲線
極曲線問題
雅可比變換
多變數函數的極值
微分學問題 II
多重積分
多重積分問題
透過改變積分順序進行二重積分
面積和體積的應用
面積和體積的應用問題
Beta 與 Gamma 函數
Beta 函數與 Gamma 函數之間的關係
Beta 與 Gamma 函數的問題
狄利克雷積分
狄利克雷積分與傅立葉級數
狄利克雷積分問題
三重積分
使用圓柱座標的三重積分
積分問題
關於積分的客觀問題
向量函數
向量線積分
格林定理
高斯散度定理
斯托克定理
表面和體積積分
積分定理問題
向量的方向導數
向量漸變
線積分定理
正交曲線座標
微分算子
向量的散度
向量的旋度
向量微積分問題
矩陣簡介
矩陣的性質
標量乘法
矩陣乘法
矩陣轉置
非奇異矩陣
矩陣的梯形形式
決定因素
行列式的性質
線性方程組
線性系統的解
線性系統的逆解法
矩陣的秩與跡
凱萊-漢密爾頓定理
特徵值和特徵向量
求特徵值和特徵向量的方法
為什麼您需要這個應用程式:
全面涵蓋:無論您是剛開始還是複習,這個應用程式都涵蓋了您工程數學所需的一切。
專注於考試主題:詳細介紹了關鍵概念和主題,以幫助您自信地準備考試。
詳細解釋:深入的註釋和解決問題的範例使複雜的主題更容易理解。
非常適合快速參考:需要重溫一個概念嗎?該應用程式可讓您快速存取所有主題,非常適合快速參考和修訂。
隨時隨地學習:針對行動使用進行了最佳化,因此您可以隨時隨地學習。







