Engineering Maths 1
22.3 MB
Tamaño de archivo
Teen
Android 7.0+
Android OS
Acerca del Engineering Maths 1
Matemáticas de ingeniería: manual completo para un aprendizaje y revisión rápidos
Ingeniería Matemática con esta aplicación móvil completa y gratuita.
Diseñada para estudiantes de ingeniería, esta aplicación cubre 80 temas esenciales en detalle, distribuidos en 5 capítulos, lo que la convierte en su mejor compañero para aprender, revisar y prepararse para exámenes o entrevistas.
Con explicaciones claras, diagramas, ecuaciones y fórmulas, esta aplicación ofrece una comprensión profunda de conceptos matemáticos clave. Ya sea que estés estudiando para exámenes o necesites una referencia rápida durante las tareas, esta aplicación te ayudará a dominar rápidamente temas críticos.
Características clave:
Cobertura completa de 80 temas: notas detalladas, explicaciones y ejemplos que cubren todos los temas esenciales de Ingeniería Matemática.
5 capítulos bien estructurados: contenido organizado para un aprendizaje sistemático.
Diagramas y fórmulas claros: ayudas visuales y fórmulas matemáticas esenciales para una comprensión más sencilla.
Optimizado para un aprendizaje rápido: ideal para revisión de exámenes, entrevistas o como guía de referencia rápida.
Interfaz compatible con dispositivos móviles: diseñada para una fácil navegación y visualización, optimizada para dispositivos móviles.
Interfaz fácil de usar: una experiencia fácil de usar que hace que el aprendizaje sea simple y efectivo.
Temas cubiertos:
Teorema de Leibnitz
Problemas sobre el teorema de Leibnitz
Cálculo diferencial-I
Radio de curvatura
Radio de curvatura en forma paramétrica
Problemas con el radio de curvatura
Radio de curvatura en forma polar
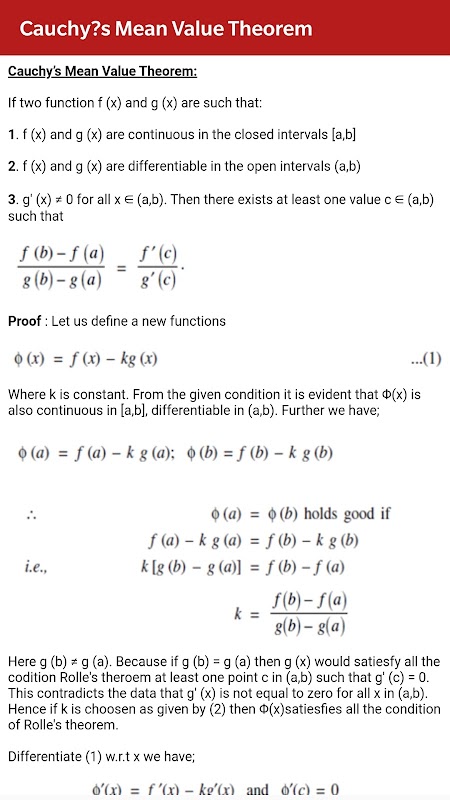
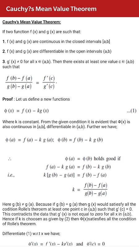
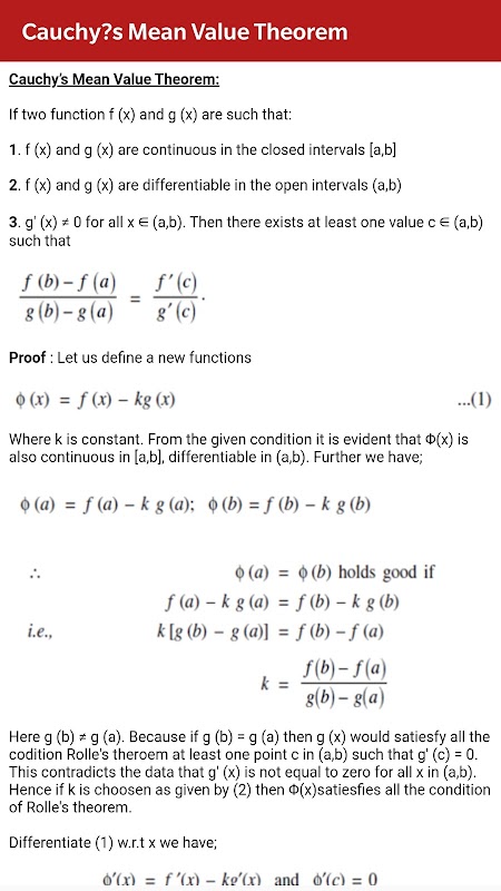
Teorema del valor medio de Cauchy
Teorema de Taylor
Problemas sobre el teorema fundamental
Derivados Parciales
Ecuación de Euler-Lagrange
Trazado de curvas
Teorema del cambio de variable
Problemas de cálculo diferencial I
Formas indeterminadas
Problemas con la regla de L'Hospital
Varias formas indeterminadas
Problemas en varias formas indeterminadas
Teorema de Taylor para funciones de dos variables
Problemas sobre el teorema de Taylor
Máximos y mínimos de funciones de dos variables
Problemas sobre máximos y mínimos de funciones de dos variables
Método de Lagrange de multiplicadores indeterminados
Problemas del método de Lagrange
Curvas polares
Problemas en curvas polares
Jacobiano de la transformación
Extremos de funciones de varias variables
Problemas de cálculo diferencial II
Integrales Múltiples
Problemas sobre integrales múltiples
Integral doble cambiando el orden de integración
Aplicaciones al área y volumen
Problemas en aplicaciones de área y volumen
Funciones Beta y Gamma
Relación entre las funciones Beta y Gamma
Problemas con las funciones Beta y Gamma
Integral Dirichlet
Serie Dirichlet Integral y Fourier
Problemas sobre las integrales de Dirichlet
Integrales triples
Integrales triples usando coordenadas cilíndricas
Problemas sobre integrales
Preguntas objetivas sobre integrales
Funciones vectoriales
Integral de línea vectorial
Teorema de Green
Teorema de la divergencia de Gauss
Teorema de Stoke
Integrales de superficie y volumen
Problemas sobre el teorema de las integrales
Derivada direccional del vector
Degradado vectorial
Teorema de la integral de línea
Coordenadas curvilíneas ortogonales
Operadores diferenciales
Divergencia del vector
Rizo de Vector
Problemas de cálculo vectorial
Introducción a las matrices
Propiedades de las matrices
Multiplicación escalar
Multiplicación de matrices
Transposición de matriz
Matriz no singular
Forma escalonada de matriz
Determinantes
Propiedades de los determinantes
Sistema de ecuaciones lineales
Solución a un sistema lineal
Solución al sistema lineal por método inverso
Rango y seguimiento de Matrix
Teorema de Cayley-Hamilton
Valores propios y vectores propios
Método para encontrar valores propios y vectores propios
Por qué necesitas esta aplicación:
Cobertura integral: ya sea que esté comenzando o revisando, esta aplicación cubre todo lo que necesita para Ingeniería Matemática.
Centrarse en los temas del examen: los conceptos y temas clave se tratan en detalle para ayudarlo a prepararse para los exámenes con confianza.
Explicaciones detalladas: las notas detalladas y los ejemplos de resolución de problemas facilitan la comprensión de los temas complejos.
Perfecto para referencia rápida: ¿Necesita repasar un concepto? Esta aplicación le brinda acceso rápido a todos los temas, lo que la hace perfecta para referencias y revisiones rápidas.
Estudie en cualquier lugar: optimizado para uso móvil, para que pueda estudiar mientras viaja, en cualquier momento y en cualquier lugar.
Novedades más recientes 15.0
Información de Engineering Maths 1 APK
Versiones Antiguas de Engineering Maths 1
Engineering Maths 1 15.0
Engineering Maths 1 14.0
Engineering Maths 1 1.13
Engineering Maths 1 1.11
Descarga rápida y segura a través de APKPure App
¡Un clic para instalar archivos XAPK/APK en Android!







