عن Engineering Maths 1
الرياضيات الهندسية: دليل كامل للتعلم السريع والمراجعة
الرياضيات الهندسية مع هذا التطبيق المحمول المجاني والشامل!
يغطي هذا التطبيق، المصمم لطلاب الهندسة، 80 موضوعًا أساسيًا بالتفصيل، موزعة على 5 فصول، مما يجعله رفيقك النهائي للتعلم والمراجعة والتحضير للامتحانات أو المقابلات.
من خلال التفسيرات والرسوم البيانية والمعادلات والصيغ الواضحة، يقدم هذا التطبيق فهمًا متعمقًا للمفاهيم الرياضية الأساسية. سواء كنت تدرس للامتحانات أو تحتاج إلى مرجع سريع أثناء الواجبات، فإن هذا التطبيق سيساعدك على إتقان المواضيع المهمة بسرعة.
الميزات الرئيسية:
تغطية كاملة لـ 80 موضوعًا: ملاحظات تفصيلية وتفسيرات وأمثلة تغطي جميع موضوعات الرياضيات الهندسية الأساسية.
5 فصول جيدة التنظيم: محتوى منظم للتعلم المنهجي.
الرسوم البيانية والصيغ الواضحة: المساعدات البصرية والصيغ الرياضية الأساسية لتسهيل الفهم.
مُحسّن للتعلم السريع: مثالي لمراجعة الامتحانات أو المقابلات أو كدليل مرجعي سريع.
واجهة متوافقة مع الأجهزة المحمولة: مصممة لسهولة التصفح والعرض، ومُحسّنة للأجهزة المحمولة.
واجهة سهلة الاستخدام: تجربة سهلة الاستخدام تجعل التعلم بسيطًا وفعالاً.
المواضيع التي يتم تناولها:
نظرية لايبنتز
مشاكل في نظرية لايبنتز
حساب التفاضل والتكامل-I
نصف قطر الانحناء
نصف قطر الانحناء في الصورة البارامترية
مشاكل على نصف قطر الانحناء
نصف قطر الانحناء في الشكل القطبي
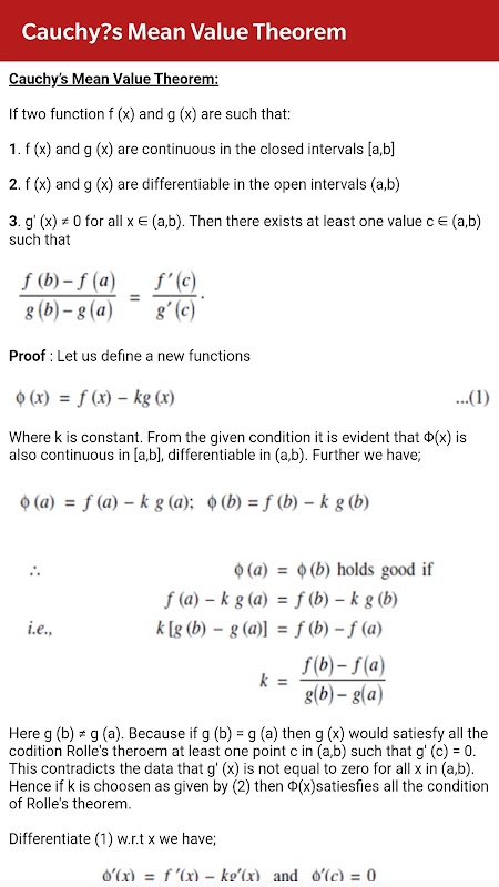
نظرية القيمة المتوسطة لكوشي
نظرية تايلور
مشاكل في النظرية الأساسية
المشتقات الجزئية
معادلة أويلر-لاجرانج
تتبع المنحنى
تغيير نظرية المتغير
مسائل في حساب التفاضل والتكامل I
نماذج غير محددة
مشاكل في قاعدة L'Hospital
أشكال مختلفة غير محددة
مشاكل على أشكال مختلفة غير محددة
نظرية تايلور لدوال اثنين من المتغيرات
مشاكل في نظرية تايلور
الحد الأقصى والحد الأدنى لوظائف متغيرين
مشاكل على الحد الأقصى والحد الأدنى لوظائف متغيرين
طريقة لاغرانج للمضاعفات غير المحددة
مشاكل في طريقة لاغرانج
المنحنيات القطبية
مشاكل على المنحنيات القطبية
جاكوبي التحول
الحدود القصوى لدوال عدة متغيرات
مسائل في حساب التفاضل والتكامل II
التكاملات المتعددة
مسائل على التكاملات المتعددة
التكامل المزدوج عن طريق تغيير ترتيب التكامل
تطبيقات على المساحة والحجم
مشاكل في التطبيقات على المساحة والحجم
وظائف بيتا وغاما
العلاقة بين وظائف بيتا وجاما
مشاكل في وظائف بيتا وجاما
تكامل ديريشليت
تكامل ديريشليت ومتسلسلة فورييه
مسائل على تكاملات ديريشليت
التكاملات الثلاثية
التكاملات الثلاثية باستخدام الإحداثيات الأسطوانية
مسائل على التكاملات
أسئلة موضوعية حول التكاملات
وظائف المتجهات
خط ناقل متكامل
نظرية جرين
نظرية تباعد غاوس
نظرية ستوك
تكاملات السطح والحجم
مسائل على نظرية التكاملات
المشتق الاتجاهي للمتجه
التدرج المتجه
نظرية التكامل الخطي
الإحداثيات المنحنية المتعامدة
مشغلي التفاضلية
اختلاف المتجهات
حليقة المتجهات
مشاكل في حساب التفاضل والتكامل المتجهات
مقدمة إلى المصفوفات
خصائص المصفوفات
الضرب العددي
ضرب المصفوفات
تبديل المصفوفة
مصفوفة غير مفردة
نموذج Echelon للمصفوفة
المحددات
خصائص المحددات
نظام المعادلات الخطية
حل النظام الخطي
حل النظام الخطي بالطريقة العكسية
رتبة وأثر المصفوفة
نظرية كايلي هاميلتون
القيم الذاتية والمتجهات الذاتية
طريقة إيجاد القيم الذاتية والمتجهات الذاتية
لماذا تحتاج هذا التطبيق:
تغطية شاملة: سواء كنت قد بدأت للتو أو تراجعت، فإن هذا التطبيق يغطي كل ما تحتاجه للرياضيات الهندسية.
التركيز على موضوعات الاختبار: يتم تناول المفاهيم والمواضيع الأساسية بالتفصيل لمساعدتك على الاستعداد للامتحانات بثقة.
شرح تفصيلي: الملاحظات المتعمقة وأمثلة حل المشكلات تجعل المواضيع المعقدة أسهل في الفهم.
مثالي للرجوع إليه السريع: هل تحتاج إلى تحسين المفهوم؟ يمنحك هذا التطبيق وصولاً سريعًا إلى جميع المواضيع، مما يجعله مثاليًا للمراجع والمراجعات السريعة.
الدراسة في أي مكان: مُحسّن للاستخدام عبر الهاتف المحمول، حتى تتمكن من الدراسة أثناء التنقل، في أي وقت وفي أي مكان.
What's new in the latest 15.0
معلومات Engineering Maths 1 APK
الإصدارات القديمة لـ Engineering Maths 1
Engineering Maths 1 15.0
Engineering Maths 1 14.0
Engineering Maths 1 1.13
Engineering Maths 1 1.11
قم بتنزيل سريع وآمن بالغاية عبر تطبيق APKPure
قم بتثبيت ملفات XAPK/APK بنقرة واحدة على أندرويد!







