このEngineering Maths 1について
工学数学 : 迅速な学習と改訂のための完全なハンドブック
この無料の包括的なモバイル アプリで工学数学を学びましょう!
工学部の学生向けに設計されたこのアプリは、5 つの章に分かれて 80 の重要なトピックを詳細にカバーしており、試験や面接の学習、復習、準備に最適です。
このアプリは、明確な説明、図、方程式、公式を備えており、重要な数学的概念を深く理解できます。試験勉強をしている場合でも、課題中に簡単な参照が必要な場合でも、このアプリは重要なトピックをすばやく習得するのに役立ちます。
主な特徴:
80 のトピックを完全にカバー: すべての重要な工学数学トピックをカバーする詳細なメモ、説明、および例。
よく構成された 5 つの章: 体系的に学習できるように構成されたコンテンツ。
明確な図と数式: 理解を容易にする視覚補助と重要な数式。
素早い学習に最適化: 試験の復習、面接、またはクイック リファレンス ガイドとして最適です。
モバイル フレンドリーなインターフェイス: ナビゲーションと表示が簡単になるように設計されており、モバイル デバイス向けに最適化されています。
使いやすいインターフェイス: 学習をシンプルかつ効果的にするユーザーフレンドリーなエクスペリエンス。
取り上げられるトピック:
ライプニッツの定理
ライプニッツの定理の問題
微分積分-I
曲率半径
パラメトリック形式の曲率半径
曲率半径の問題
極形式の曲率半径
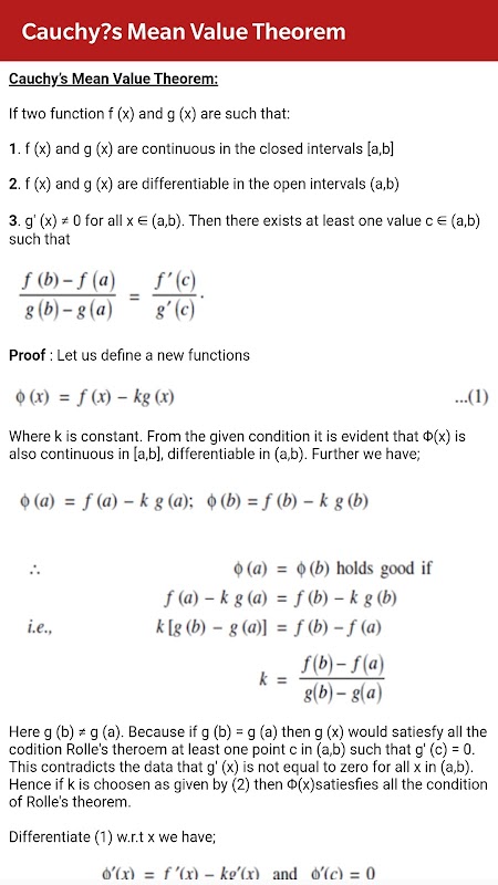
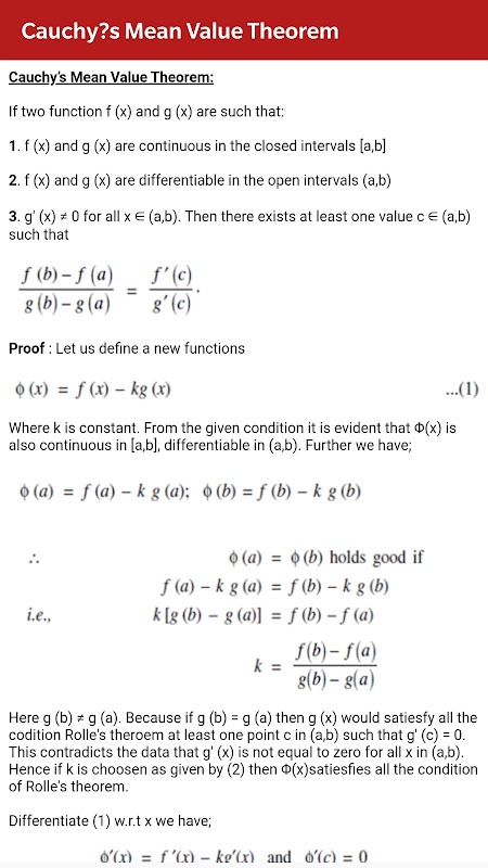
コーシーの平均値定理
テイラーの定理
基本定理の問題
部分デリバティブ
オイラー・ラグランジュ方程式
カーブトレース
変数定理の変更
微分積分の問題 I
不定形
ロスピタルの規則の問題点
さまざまな不定形
さまざまな不定形の問題
2 変数の関数に関するテイラーの定理
テイラーの定理の問題
2 つの変数の関数の最大値と最小値
2変数関数の最大値と最小値に関する問題
ラグランジュの未定乗数法
ラグランジュ法の問題点
極曲線
極曲線に関する問題
変容のヤコビアン
いくつかの変数の関数の極値
微分積分の問題Ⅱ
複数の積分
複数の積分に関する問題
積分の順序を変えることによる二重積分
面積と体積への応用
面積と体積への適用の問題
ベータ関数とガンマ関数
ベータ関数とガンマ関数の関係
ベータ関数とガンマ関数の問題
ディリクレ積分
ディリクレ積分とフーリエ級数
ディリクレ積分の問題
三重積分
円筒座標を使用した三重積分
積分に関する問題
積分に関する客観的な質問
ベクトル関数
ベクトル線積分
グリーンの定理
ガウスの発散定理
ストークの定理
表面積分と体積積分
積分定理の問題
ベクトルの方向導関数
ベクトルグラデーション
線積分の定理
直交曲線座標
微分演算子
ベクトルの発散
ベクトルのカール
ベクトル微積分の問題
行列の概要
行列のプロパティ
スカラー倍算
行列乗算
行列の転置
非特異行列
行列のエシュロン形式
決定要因
行列式の性質
線形方程式系
線形システムのソリューション
逆法による線形システムの解法
マトリックスのランクとトレース
ケイリー・ハミルトンの定理
固有値と固有ベクトル
固有値と固有ベクトルを求める方法
このアプリが必要な理由:
包括的な内容: 始めたばかりでも復習でも、このアプリは工学数学に必要なすべてをカバーしています。
試験のトピックに焦点を当てる: 主要な概念とトピックが詳細に取り上げられているため、自信を持って試験の準備をすることができます。
詳細な説明: 詳細なメモと問題解決の例により、複雑なトピックが理解しやすくなります。
クイックリファレンスに最適: コンセプトをブラッシュアップする必要がありますか?このアプリを使用すると、すべてのトピックにすばやくアクセスできるため、クイックリファレンスや改訂に最適です。
どこでも学習: モバイルでの使用に最適化されているため、いつでもどこでも外出先で学習できます。







