Engineering Maths 1 정보
공학수학: 빠른 학습과 복습을 위한 완전한 핸드북
이 무료 종합 모바일 앱으로 공학 수학을 즐겨보세요!
공대생을 위해 설계된 이 앱은 5개 장에 걸쳐 80가지 필수 주제를 자세히 다루며 시험이나 인터뷰를 학습하고, 복습하고, 준비하는 데 최고의 동반자가 됩니다.
명확한 설명, 다이어그램, 방정식 및 공식을 통해 이 앱은 주요 수학 개념에 대한 심층적인 이해를 제공합니다. 시험 공부를 하거나 과제 중 빠른 참조가 필요한 경우 이 앱을 사용하면 중요한 주제를 빠르게 마스터할 수 있습니다.
주요 특징:
80개 주제의 전체 범위: 모든 필수 공학 수학 주제를 다루는 자세한 메모, 설명 및 예입니다.
잘 구성된 5개의 챕터: 체계적인 학습을 위해 콘텐츠를 구성했습니다.
명확한 다이어그램 및 공식: 더 쉽게 이해할 수 있도록 시각적 자료와 필수 수학 공식을 제공합니다.
빠른 학습에 최적화됨: 시험 개정, 인터뷰 또는 빠른 참조 가이드로 이상적입니다.
모바일 친화적인 인터페이스: 쉽게 탐색하고 볼 수 있도록 설계되었으며 모바일 장치에 최적화되었습니다.
사용하기 쉬운 인터페이스: 학습을 간단하고 효과적으로 만들어주는 사용자 친화적인 경험입니다.
다루는 주제:
라이프니츠 정리
라이프니츠 정리의 문제
미적분학-I
곡률 반경
파라메트릭 형태의 곡률 반경
곡률반경 문제
극형의 곡률 반경
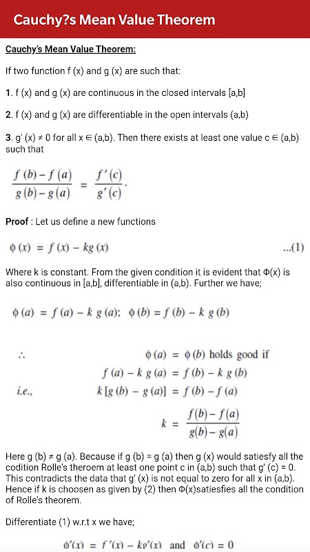
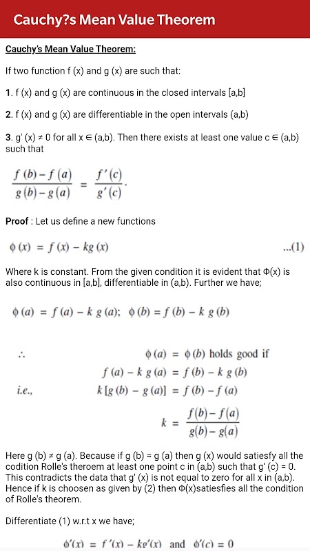
코시(Cauchy)의 평균값 정리
테일러의 정리
기본정리의 문제
부분파생상품
오일러-라그랑주 방정식
곡선 추적
변수정리의 변화
미적분학 I의 문제
불확정 형태
로피탈 법칙의 문제점
다양한 부정형
다양한 부정형의 문제
두 변수의 함수에 대한 테일러의 정리
테일러의 정리에 대한 문제
두 변수 함수의 최대값과 최소값
두 변수 함수의 최대값과 최소값에 관한 문제
라그랑주의 미정 승수 방법
라그랑주 방법의 문제점
극곡선
극곡선의 문제
변환의 야코비안
여러 변수의 함수의 극값
미분학 II의 문제
다중 적분
다중 적분의 문제
적분 순서를 변경하여 이중 적분
면적 및 부피에 대한 적용
면적과 부피에 대한 적용상의 문제점
베타 및 감마 함수
베타와 감마 함수의 관계
베타 및 감마 함수의 문제
디리클레 적분
Dirichlet 적분 및 푸리에 급수
Dirichlet 적분의 문제
삼중 적분
원통형 좌표를 사용한 삼중 적분
적분 문제
적분에 관한 객관적인 질문
벡터 함수
벡터선 적분
그린의 정리
가우스 발산 정리
스토크의 정리
표면적분과 체적적분
적분 정리의 문제
벡터의 방향 미분
벡터 그라데이션
선적분의 정리
직교 곡선 좌표
미분 연산자
벡터의 발산
벡터의 컬
벡터 미적분학의 문제
행렬 소개
행렬의 속성
스칼라 곱셈
행렬 곱셈
행렬의 전치
비특이행렬
행렬의 에셜론 형태
결정 요인
행렬식의 속성
선형 방정식 시스템
선형 시스템에 대한 솔루션
역법에 의한 선형 시스템의 해법
행렬의 순위와 추적
케일리-해밀턴 정리
고유값과 고유벡터
고유값과 고유벡터를 찾는 방법
이 앱이 필요한 이유:
포괄적인 범위: 이제 막 시작하든 수정하든 이 앱은 공학 수학에 필요한 모든 것을 다룹니다.
시험 주제에 집중: 자신감을 갖고 시험을 준비하는 데 도움이 되도록 주요 개념과 주제를 자세히 다룹니다.
자세한 설명: 심층적인 메모와 문제 해결 예시를 통해 복잡한 주제를 더 쉽게 이해할 수 있습니다.
빠른 참조에 적합: 개념을 다시 정리해야 합니까? 이 앱은 모든 주제에 대한 빠른 액세스를 제공하므로 빠른 참조 및 수정에 적합합니다.
어디서나 공부하세요: 모바일 사용에 최적화되어 이동 중에도 언제 어디서나 공부할 수 있습니다.







