Engineering Maths 1
22.3 MB
Bestandsgrootte
Teen
Android 7.0+
Android OS
Over Engineering Maths 1
Technische wiskunde: compleet handboek voor snel leren en herzien
Engineering Wiskunde met deze gratis, uitgebreide mobiele app!
Deze app is ontworpen voor technische studenten en behandelt 80 essentiële onderwerpen in detail, verdeeld over 5 hoofdstukken, waardoor het uw ultieme metgezel is voor het leren, herzien en voorbereiden op examens of interviews.
Met duidelijke uitleg, diagrammen, vergelijkingen en formules biedt deze app een diepgaand inzicht in de belangrijkste wiskundige concepten. Of je nu studeert voor examens of snel referenties nodig hebt tijdens opdrachten, deze app helpt je snel kritische onderwerpen onder de knie te krijgen.
Belangrijkste kenmerken:
Volledige dekking van 80 onderwerpen: gedetailleerde opmerkingen, uitleg en voorbeelden over alle essentiële onderwerpen op het gebied van technische wiskunde.
5 goed gestructureerde hoofdstukken: georganiseerde inhoud voor systematisch leren.
Duidelijke diagrammen en formules: visuele hulpmiddelen en essentiële wiskundige formules voor eenvoudiger begrip.
Geoptimaliseerd voor snel leren: Ideaal voor examenherziening, interviews of als korte naslaggids.
Mobielvriendelijke interface: ontworpen voor eenvoudige navigatie en weergave, geoptimaliseerd voor mobiele apparaten.
Eenvoudig te gebruiken interface: een gebruiksvriendelijke ervaring die het leren eenvoudig en effectief maakt.
Onderwerpen die aan bod komen:
Leibnitz-stelling
Problemen met de stelling van Leibnitz
Differentiaalrekening-I
Straal van kromming
Krommingsstraal in parametrische vorm
Problemen met de kromtestraal
Krommingsstraal in polaire vorm
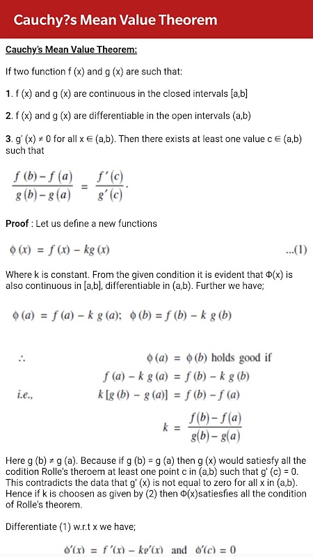
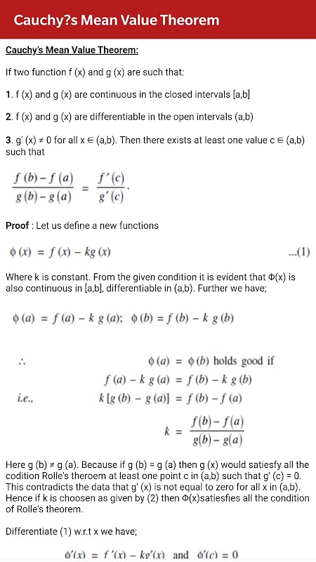
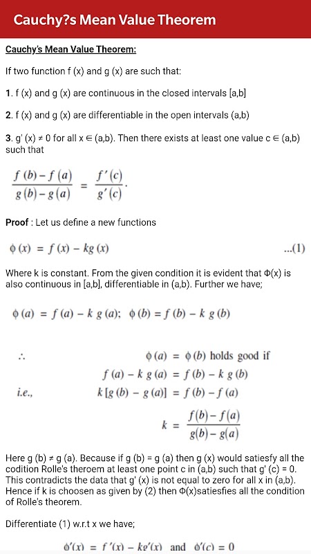
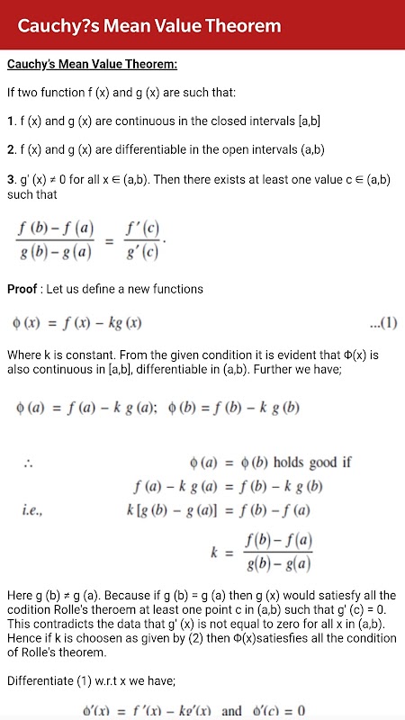
Cauchy's gemiddelde waardestelling
Taylor's stelling
Problemen met de fundamentele stelling
Gedeeltelijke derivaten
Euler-Lagrange-vergelijking
Curve volgen
Verandering van variabele stelling
Problemen met differentiaalrekening I
Onbepaalde vormen
Problemen met de regel van L'Hospital
Diverse onbepaalde vormen
Problemen met verschillende onbepaalde formulieren
Taylor's stelling voor functies van twee variabelen
Problemen met de stelling van Taylor
Maxima en minima van functies van twee variabelen
Problemen met maxima en minima van functies van twee variabelen
Lagrange's methode van onbepaalde vermenigvuldigers
Problemen met de methode van Lagrange
Polaire curven
Problemen met polaire curven
Jacobiaan van Transformatie
Extrema van functies van verschillende variabelen
Problemen met differentiaalrekening II
Meerdere integralen
Problemen met meerdere integralen
Dubbele Integraal door de volgorde van integratie te veranderen
Toepassingen op oppervlakte en volume
Problemen met toepassingen op gebied en volume
Bèta- en gammafuncties
Relatie tussen bèta- en gammafuncties
Problemen met bèta- en gammafuncties
Dirichlet Integraal
Dirichlet Integrale en Fourierreeks
Problemen met Dirichlet-integralen
Drievoudige integralen
Drievoudige integralen met behulp van cilindrische coördinaten
Problemen met integralen
Objectieve vragen over integralen
Vectorfuncties
Vectorlijnintegraal
De stelling van Green
Gauss-divergentiestelling
De stelling van Stoke
Oppervlakte- en volume-integralen
Problemen met de stelling van integralen
Directionele afgeleide van vector
Vectorgradiënt
Stelling van lijnintegraal
Orthogonale kromlijnige coördinaten
Differentiële operators
Divergentie van Vector
Krul van Vector
Problemen met vectorrekening
Inleiding tot matrixen
Eigenschappen van matrixen
Scalaire vermenigvuldiging
Matrixvermenigvuldiging
Transponeren van Matrix
Niet-singuliere matrix
Echelonvorm van matrix
Determinanten
Eigenschappen van determinanten
Systeem van lineaire vergelijkingen
Oplossing voor een lineair systeem
Oplossing voor lineair systeem volgens de omgekeerde methode
Rang en spoor van Matrix
Stelling van Cayley-Hamilton
Eigenwaarden en Eigenvectoren
Methode voor het vinden van eigenwaarden en eigenvectoren
Waarom je deze app nodig hebt:
Uitgebreide dekking: of u nu net begint of aan het herzien bent, deze app biedt alles wat u nodig heeft voor technische wiskunde.
Focus op examenonderwerpen: de belangrijkste concepten en onderwerpen worden gedetailleerd behandeld, zodat u zich met vertrouwen op examens kunt voorbereiden.
Gedetailleerde uitleg: Diepgaande aantekeningen en probleemoplossende voorbeelden maken complexe onderwerpen gemakkelijker te begrijpen.
Perfect voor snelle referentie: moet u een concept opfrissen? Deze app geeft je snel toegang tot alle onderwerpen, waardoor het perfect is voor snelle referentie en herzieningen.
Overal studeren: Geoptimaliseerd voor mobiel gebruik, zodat u altijd en overal onderweg kunt studeren.
What's new in the latest 15.0
Engineering Maths 1 APK -informatie
Oude versies van Engineering Maths 1
Engineering Maths 1 15.0
Engineering Maths 1 14.0
Engineering Maths 1 1.13
Engineering Maths 1 1.11
Supersnel en veilig downloaden via de APKPure-app
Eén klik om XAPK/APK-bestanden op Android te installeren!







