دربارهی Engineering Maths 1
ریاضیات مهندسی: راهنمای کامل برای یادگیری سریع و تجدید نظر
ریاضیات مهندسی با این برنامه تلفن همراه رایگان و جامع!
این برنامه که برای دانشجویان مهندسی طراحی شده است، 80 موضوع ضروری را با جزئیات پوشش می دهد، در 5 فصل پخش می شود، و آن را به همراه نهایی شما برای یادگیری، بازنگری و آماده شدن برای امتحانات یا مصاحبه ها تبدیل می کند.
این برنامه با توضیحات، نمودارها، معادلات و فرمول های واضح، درک عمیقی از مفاهیم کلیدی ریاضی ارائه می دهد. چه در حال مطالعه برای امتحانات باشید و چه در حین انجام تکالیف به یک مرجع سریع نیاز داشته باشید، این برنامه به شما کمک می کند تا به سرعت بر موضوعات مهم تسلط پیدا کنید.
ویژگی های کلیدی:
پوشش کامل 80 موضوع: یادداشتها، توضیحات و مثالهای مفصل که تمام موضوعات ضروری ریاضیات مهندسی را پوشش میدهد.
5 فصل با ساختار خوب: محتوای سازمان یافته برای یادگیری سیستماتیک.
نمودارها و فرمول های پاک: کمک های بصری و فرمول های ریاضی ضروری برای درک آسان تر.
بهینه شده برای یادگیری سریع: ایده آل برای بازبینی امتحان، مصاحبه، یا به عنوان یک راهنمای مرجع سریع.
رابط مناسب برای موبایل: طراحی شده برای ناوبری و مشاهده آسان، بهینه سازی شده برای دستگاه های تلفن همراه.
رابط کاربری آسان: تجربه ای کاربرپسند که یادگیری را ساده و موثر می کند.
موضوعات تحت پوشش:
قضیه لایبنیتس
مسائل مربوط به قضیه لایبنیتس
حساب دیفرانسیل - I
شعاع انحنا
شعاع انحنا به شکل پارامتریک
مسائل مربوط به شعاع انحنا
شعاع انحنا به شکل قطبی
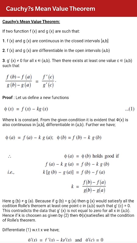
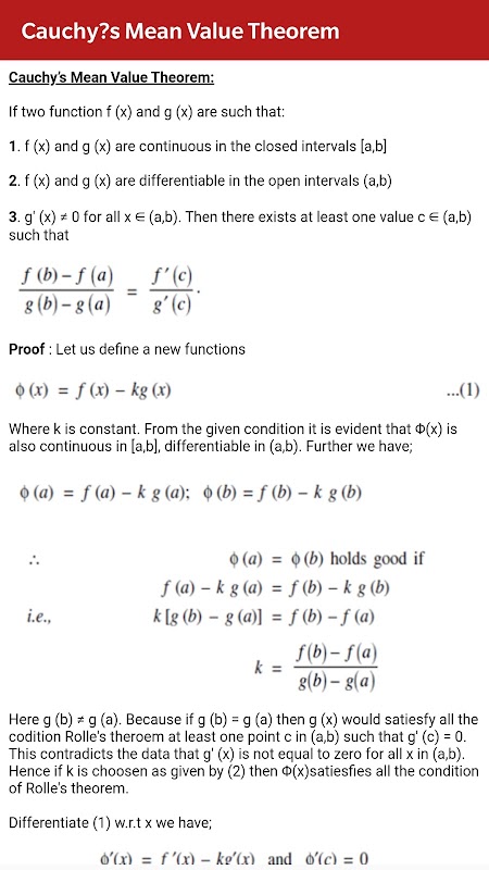
قضیه مقدار میانگین کوشی
قضیه تیلور
مسائل مربوط به قضیه بنیادی
مشتقات جزئی
معادله اویلر-لاگرانژ
ردیابی منحنی
تغییر قضیه متغیر
مسائل مربوط به حساب دیفرانسیل I
فرم های نامشخص
مشکلات در قانون L'Hospital
اشکال مختلف نامشخص
مسائل مربوط به اشکال مختلف نامشخص
قضیه تیلور برای توابع دو متغیر
مسائل مربوط به قضیه تیلور
ماکزیمم و حداقل توابع دو متغیر
مسائل ماکزیمم و حداقل توابع دو متغیر
روش لاگرانژ ضریب های نامشخص
مشکلات روش لاگرانژ
منحنی های قطبی
مشکلات منحنی قطبی
یعقوبیان تحول
افراطی از توابع چند متغیر
مسائل مربوط به حساب دیفرانسیل II
انتگرال های چندگانه
مسائل مربوط به انتگرال های چندگانه
دو انتگرال با تغییر ترتیب ادغام
برنامه های کاربردی برای منطقه و حجم
مشکلات در برنامه های کاربردی به منطقه و حجم
توابع بتا و گاما
رابطه بین توابع بتا و گاما
مشکلات مربوط به توابع بتا و گاما
انتگرال دیریکله
دیریکله انتگرال و سری فوریه
مسائل مربوط به انتگرال دیریکله
انتگرال های سه گانه
انتگرال های سه گانه با استفاده از مختصات استوانه ای
مشکلات مربوط به انتگرال ها
سوالات عینی در مورد انتگرال ها
توابع برداری
انتگرال خط برداری
قضیه گرین
قضیه واگرایی گاوس
قضیه استوک
انتگرال های سطحی و حجمی
مسائل مربوط به قضیه انتگرال ها
مشتق جهت بردار
گرادیان برداری
قضیه انتگرال خط
مختصات منحنی متعامد
اپراتورهای دیفرانسیل
واگرایی بردار
حلقه از وکتور
مسائل مربوط به حساب برداری
مقدمه ای بر ماتریس ها
خواص ماتریس ها
ضرب اسکالر
ضرب ماتریس
انتقال ماتریس
ماتریس غیر منفرد
فرم Echelon از ماتریس
عوامل تعیین کننده
خواص عوامل تعیین کننده
سیستم معادلات خطی
راه حل یک سیستم خطی
حل سیستم خطی با روش معکوس
رتبه و ردیابی ماتریس
قضیه کیلی-همیلتون
مقادیر ویژه و بردارهای ویژه
روش یافتن مقادیر ویژه و بردارهای ویژه
چرا به این برنامه نیاز دارید:
پوشش جامع: چه به تازگی شروع کرده باشید و چه در حال بازبینی، این برنامه هر آنچه را که برای ریاضیات مهندسی نیاز دارید را پوشش می دهد.
تمرکز بر موضوعات امتحانی: مفاهیم و موضوعات کلیدی به تفصیل پوشش داده شده است تا به شما کمک کند با اطمینان برای امتحانات آماده شوید.
توضیحات تفصیلی: یادداشتهای عمیق و مثالهای حل مسئله، درک موضوعات پیچیده را آسانتر میکنند.
ایده آل برای ارجاع سریع: آیا نیاز به بررسی یک مفهوم دارید؟ این برنامه دسترسی سریع به همه موضوعات را به شما می دهد و آن را برای مرجع سریع و تجدید نظر عالی می کند.
مطالعه در هر نقطه: بهینه شده برای استفاده از تلفن همراه، بنابراین شما می توانید در حال حرکت، در هر زمان و هر مکان مطالعه کنید.
جدیدترین 15.0 چه خبر است
اطلاعات Engineering Maths 1 APK
نسخههای قدیمی Engineering Maths 1
Engineering Maths 1 15.0
Engineering Maths 1 14.0
Engineering Maths 1 1.13
Engineering Maths 1 1.11
دانلود فوق سریع و ایمن از طریق برنامه APKPure
برای نصب فایل های XAPK/APK در اندروید با یک کلیک!







