Mengenai Engineering Maths 1
Matematik Kejuruteraan : Buku Panduan Lengkap untuk Pembelajaran Pantas dan Semakan
Matematik Kejuruteraan dengan aplikasi mudah alih percuma yang komprehensif ini!
Direka bentuk untuk pelajar kejuruteraan, aplikasi ini merangkumi 80 topik penting secara terperinci, tersebar di 5 bab, menjadikannya teman utama anda untuk belajar, menyemak dan membuat persediaan untuk peperiksaan atau temu duga.
Dengan penerangan yang jelas, rajah, persamaan dan formula, aplikasi ini menawarkan pemahaman yang mendalam tentang konsep matematik utama. Sama ada anda sedang belajar untuk peperiksaan atau memerlukan rujukan pantas semasa tugasan, apl ini akan membantu anda menguasai topik kritikal dengan cepat.
Ciri-ciri Utama:
Liputan Lengkap 80 Topik: Nota, penerangan dan contoh terperinci yang merangkumi semua topik Matematik Kejuruteraan yang penting.
5 Bab yang Tersusun dengan Baik: Kandungan tersusun untuk pembelajaran yang sistematik.
Gambar rajah & Formula yang Jelas: Bantuan visual dan formula matematik penting untuk pemahaman yang lebih mudah.
Dioptimumkan untuk Pembelajaran Pantas: Sesuai untuk semakan peperiksaan, temu duga atau sebagai panduan rujukan pantas.
Antara Muka Mesra Mudah Alih: Direka untuk navigasi dan tontonan yang mudah, dioptimumkan untuk peranti mudah alih.
Antara Muka Mudah Digunakan: Pengalaman mesra pengguna yang menjadikan pembelajaran mudah dan berkesan.
Topik yang diliputi:
Teorem Leibnitz
Masalah pada Teorem Leibnitz
Kalkulus Pembezaan-I
Jejari Kelengkungan
Jejari Lengkungan dalam Bentuk Parametrik
Masalah pada Jejari Kelengkungan
Jejari Kelengkungan dalam Bentuk Kutub
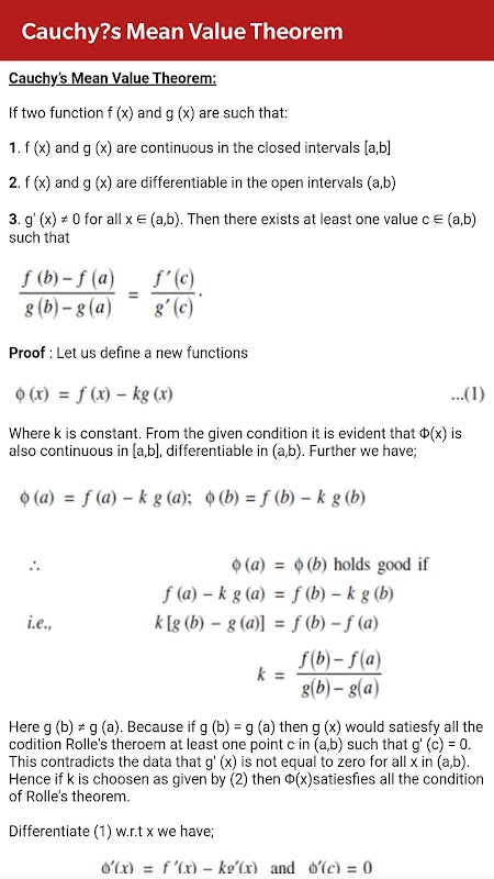
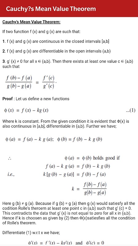
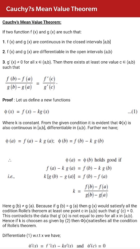
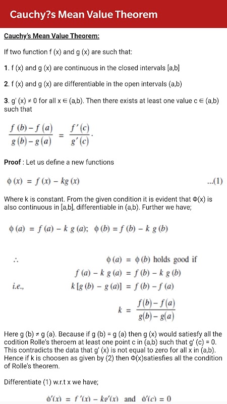
Teorem Nilai Min Cauchy
Teorem Taylor
Masalah Teorem Asas
Terbitan Separa
Persamaan Euler-Lagrange
Jejak Lengkung
Perubahan Teorem Pembolehubah
Masalah pada Kalkulus Pembezaan I
Bentuk Tak Tentu
Masalah mengenai Peraturan L'Hospital
Pelbagai Bentuk Tak Tentu
Masalah pada Pelbagai Bentuk Tidak Tentu
Teorem Taylor untuk Fungsi Dua Pembolehubah
Masalah pada Teorem Taylor
Maksima dan Minima Fungsi Dua Pembolehubah
Masalah pada Maxima dan Minima Fungsi Dua Pembolehubah
Kaedah Lagrange Pengganda Tidak Tentu
Masalah pada Kaedah Lagrange
Lengkung Kutub
Masalah pada Lengkung Kutub
Jacobian Transformasi
Ekstrim Fungsi Beberapa Pembolehubah
Masalah pada Kalkulus Pembezaan II
Kamiran Berbilang
Masalah pada Kamiran Berbilang
Kamiran Berganda dengan Mengubah Susunan Pengamiran
Aplikasi untuk Kawasan dan Kelantangan
Masalah pada Aplikasi ke Kawasan dan Kelantangan
Fungsi Beta dan Gamma
Hubungan Antara Fungsi Beta dan Gamma
Masalah pada Fungsi Beta dan Gamma
Dirichlet Integral
Dirichlet Integral dan Siri Fourier
Masalah pada Kamiran Dirichlet
Kamiran Tiga Tiga
Kamiran Tiga Tiga Menggunakan Koordinat Silinder
Masalah pada Kamiran
Soalan Objektif Kamiran
Fungsi Vektor
Kamiran Garis Vektor
Teorem Hijau
Teorem Gauss Divergence
Teorem Stoke
Kamiran Permukaan dan Isipadu
Masalah pada Teorem Kamiran
Terbitan Arah Vektor
Kecerunan Vektor
Teorem Kamiran Garis
Koordinat Lengkung Ortogon
Operator Pembezaan
Perbezaan Vektor
Lengkung Vektor
Masalah pada Kalkulus Vektor
Pengenalan kepada Matriks
Sifat Matriks
Pendaraban Skalar
Pendaraban Matriks
Transpose Matriks
Matriks bukan tunggal
Bentuk Matriks Eselon
Penentu
Sifat-sifat Penentu
Sistem Persamaan Linear
Penyelesaian kepada Sistem Linear
Penyelesaian kepada Sistem Linear dengan Kaedah Songsang
Kedudukan dan Surih Matriks
Teorem Cayley-Hamilton
Eigenvalues dan Eigenvectors
Kaedah Mencari Nilai Eigen dan Vektor Eigen
Mengapa Anda Memerlukan Apl Ini:
Liputan Komprehensif: Sama ada anda baru memulakan atau menyemak, aplikasi ini merangkumi semua yang anda perlukan untuk Matematik Kejuruteraan.
Fokus pada Topik Peperiksaan: Konsep dan topik utama diliputi secara terperinci untuk membantu anda bersedia menghadapi peperiksaan dengan yakin.
Penjelasan Terperinci: Nota mendalam dan contoh penyelesaian masalah menjadikan topik yang kompleks lebih mudah difahami.
Sempurna untuk Rujukan Pantas: Perlu menyempurnakan konsep? Apl ini memberikan anda akses pantas kepada semua topik, menjadikannya sempurna untuk rujukan dan semakan pantas.
Belajar Di Mana-mana: Dioptimumkan untuk kegunaan mudah alih, supaya anda boleh belajar semasa dalam perjalanan, pada bila-bila masa, di mana-mana sahaja.
What's new in the latest 15.0
Maklumat APK Engineering Maths 1
Versi lama Engineering Maths 1
Engineering Maths 1 15.0
Engineering Maths 1 14.0
Engineering Maths 1 1.13
Engineering Maths 1 1.11
Muat Turun Super Pantas dan Selamat melalui Apl APKPure
Satu klik untuk memasang fail XAPK/APK pada Android!







