Mengenai Quantum Computing
Buat dan laksanakan litar kuantum mudah di mana sahaja
Perisian untuk Android yang meniru tindakan komputer kuantum
pada dasarnya simulator komputer kuantum dengan fungsi terhad
Tujuan utamanya adalah untuk membolehkan pengujian kepada semua orang, walaupun dalam perjalanan. Oleh kerana aplikasi ini hanya emulator, ia dapat menunjukkan kedudukan qubit pada sfera bloch. Aplikasi ini juga dapat menunjukkan vektor keadaan sistem (dalam mod kebarangkalian) dan gerbang kesatuan akhir juga akan dapat diakses dalam masa terdekat. Hadnya hanyalah kekuatan pengkomputeran peranti anda!
Bantu pengujian dan sertai program beta untuk fungsi baru!
Anda boleh menggunakan sebarang matriks pada qubit anda selagi mereka adalah anggota kumpulan SU (n) & # 8211; mereka harus bersatu dan harus mempunyai penentu unit.
Mengenai latar belakang
Aplikasi ini menggunakan backend buatan sendiri untuk mensimulasikan litar kuantum. Itu belum lagi berfungsi dengan suara bising. Bahagian belakang ditulis dalam Java dan seluruh kod sumber boleh didapati di GitHub di hexadec / Quantum
Perlu diketahui bahawa urutan qubit dalam aplikasi ini adalah Big-Endian , yang bermaksud bahawa di gerbang multi-qubit selalu parameter pertama adalah bit terakhir di statevector, sedangkan beberapa sistem terkenal lain adalah Little-Endian, jadi matriks gerbang multi-qubit memerlukan penukaran!
Ciri-ciri utama
& # 8226; & # 8195; Maksimum 10 qubit
& # 8226; & # 8195; Gerbang dengan maksimum 4 qubit
& # 8226; & # 8195; Jumlah tangkapan yang sangat tinggi (sehingga 2 ^ 20)
& # 8226; & # 8195; Banyak gerbang yang telah ditentukan
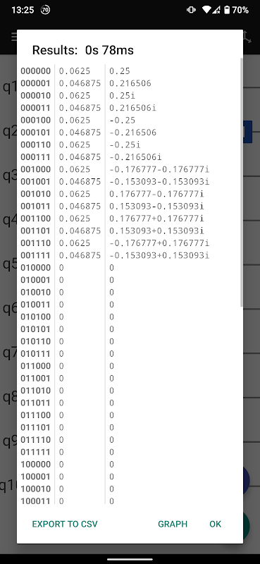
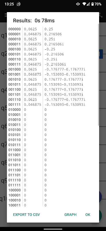
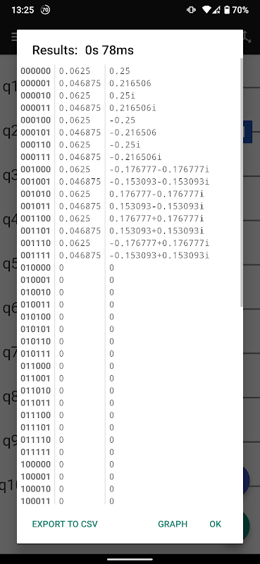
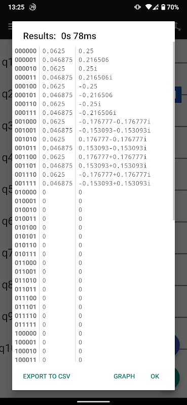
& # 8226; & # 8195; Dapatkan hasil dengan segera
& # 8226; & # 8195; Hasil eksport
& # 8226; & # 8195; Urutan gerbang import / eksport, eksport sebagai OpenQASM
& # 8226; & # 8195; Ambil konjugat hermitian dari mana-mana gerbang
& # 8226; & # 8195; Tunjukkan sfera bloch (untuk qubit yang tidak terjerat)
& # 8226; & # 8195; Tunjukkan vektor keadaan sistem
& # 8226; & # 8195; Pengoptimuman litar automatik dan pilihan
Gerbang qubit tunggal yang telah ditentukan
& # 8226; & # 8195; Hadamard
& # 8226; & # 8195; Pauli-X / Y / Z
& # 8226; & # 8195; S-gate & T-gate (fasa-pergeseran)
& # 8226; & # 8195; √TIDAK
& # 8226; & # 8195; Identiti
& # 8226; & # 8195; U3
Gerbang multi qubit yang telah ditentukan
& # 8226; & # 8195; CNOT / CY / CZ (Dikawal-Pauli)
& # 8226; & # 8195; Pintu terkawal-S, terkawal-T dan terkawal-Hadamard
& # 8226; & # 8195; U3 terkawal
& # 8226; & # 8195; TUKAR
& # 8226; & # 8195; Toffoli
& # 8226; & # 8195; Fredkin
& # 8226; & # 8195; Transformasi Kuantum Fourier
Ciri terancang
Buat dan jalankan algoritma dengan gelung dan keadaan
Paparkan matriks kesatuan akhir untuk litar yang lebih kecil
Visualisasikan keadaan berbilang qubit dengan lebih baik
Penterjemah disambut di repositori GitHub:
https://github.com/hexadec/Quantum/blob/master/app/src/main/res/values/strings.xml
What's new in the latest 0.19.3–210731
- Fixed an extremely rare bug that caused the app to crash
0.19.1 & 0.19.2:
- Fixed a bug that crashed the app when the screen was rotated
- UX improvements
- Save the statevector so that the second run will be a lot faster
- Gate editor fixes
Maklumat APK Quantum Computing
Versi lama Quantum Computing
Quantum Computing 0.19.3–210731
Quantum Computing 0.18.7–201228
Quantum Computing 0.17.8–200702
Quantum Computing 0.17.7–200625
Muat Turun Super Pantas dan Selamat melalui Apl APKPure
Satu klik untuk memasang fail XAPK/APK pada Android!







