Über Quantum Computing
Erstellen Sie unterwegs einfache Quantenschaltungen und führen Sie sie aus
Eine Software für Android, die die Aktionen eines Quantencomputers emuliert
im Wesentlichen ein Quantencomputersimulator mit eingeschränkter Funktionalität
Der Hauptzweck besteht darin, das Testen für alle zu ermöglichen, auch unterwegs. Da diese App nur ein Emulator ist, kann sie die Position der Qubits auf der Blochkugel anzeigen. Diese App kann auch den Zustandsvektor des Systems anzeigen (im Wahrscheinlichkeitsmodus) und das endgültige einheitliche Tor wird ebenfalls bald verfügbar sein. Die Grenze ist nur die Rechenleistung Ihres Geräts!
Helfen Sie beim Testen und nehmen Sie am Beta-Programm teil, um neue Funktionen zu erhalten!
Sie können beliebige Matrizen auf Ihre Qubits anwenden, solange diese Mitglied der Gruppe SU (n) & # 8211; Sie müssen einheitlich sein und eine Einheitsdeterminante haben.
Über das Backend
Die Anwendung verwendet ein hausgemachtes Backend zur Simulation von Quantenschaltungen. Es funktioniert noch nicht mit Rauschen. Das Backend ist in Java geschrieben und der gesamte Quellcode befindet sich auf GitHub unter hexadec / Quantum
Bitte beachten Sie, dass die Qubit-Reihenfolge in dieser Anwendung Big-Endian ist, was bedeutet, dass in einem Multi-Qubit-Gate immer der erste Parameter das letzte Bit im Zustandsvektor ist, während dies bei einigen anderen bekannten Systemen der Fall ist Little-Endian , daher müssen die meisten Multi-Qubit-Gate-Matrizen konvertiert werden!
Hauptfunktionen
& # 8226; & # 8195; Höchstens 10 Qubits
& # 8226; & # 8195; Tore mit höchstens 4 Qubits
& # 8226; & # 8195; Extrem hohe Anzahl von Aufnahmen (bis zu 2 ^ 20)
& # 8226; & # 8195; Viele vordefinierte Tore
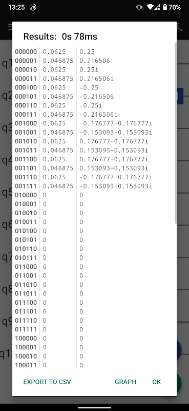
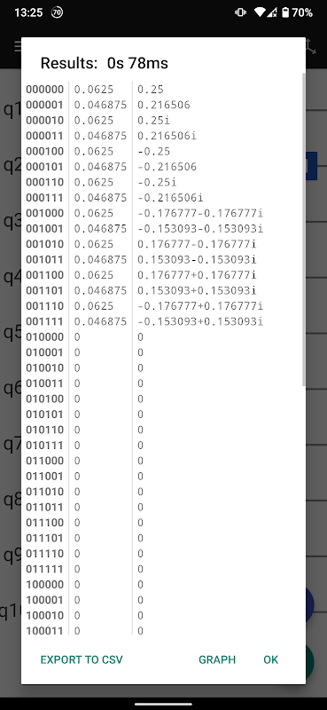
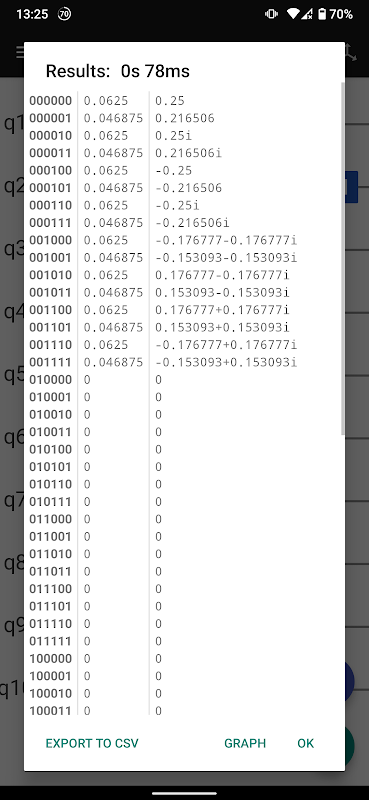
& # 8226; & # 8195; Ergebnisse sofort abrufen
& # 8226; & # 8195; Ergebnisse exportieren
& # 8226; & # 8195; Gate-Sequenz importieren / exportieren, als OpenQASM exportieren
& # 8226; & # 8195; Nehmen Sie das Einsiedlerkonjugat eines beliebigen Tors
& # 8226; & # 8195; Blochkugel anzeigen (für nicht verwickelte Qubits)
& # 8226; & # 8195; Zeigt den Statusvektor des Systems an
& # 8226; & # 8195; Automatische und Opt-In-Schaltungsoptimierung
Vordefinierte Single-Qubit-Gates
& # 8226; & # 8195; Hadamard
& # 8226; & # 8195; Pauli-X / Y / Z.
& # 8226; & # 8195; S-Gate & T-Gate (Phasenverschiebung)
& # 8226; & # 8195; √NOT
& # 8226; & # 8195; Identität
& # 8226; & # 8195; U3
Vordefinierte Multi-Qubit-Gates
& # 8226; & # 8195; CNOT / CY / CZ (Controlled-Pauli)
& # 8226; & # 8195; Controlled-S-, Controlled-T- und Controlled-Hadamard-Tore
& # 8226; & # 8195; Controlled U3
& # 8226; & # 8195; SWAP
& # 8226; & # 8195; Toffoli
& # 8226; & # 8195; Fredkin
& # 8226; & # 8195; Quanten-Fourier-Transformation
Geplante Funktionen
Erstellen und Ausführen von Algorithmen mit Schleifen und Bedingungen
Anzeige der endgültigen einheitlichen Matrix für kleinere Schaltkreise
Visualisieren Sie Multi-Qubit-Zustände besser
Übersetzer sind im GitHub-Repository willkommen:
https://github.com/hexadec/Quantum/blob/master/app/src/main/res/values/strings.xml
What's new in the latest 0.19.3–210731
- Fixed an extremely rare bug that caused the app to crash
0.19.1 & 0.19.2:
- Fixed a bug that crashed the app when the screen was rotated
- UX improvements
- Save the statevector so that the second run will be a lot faster
- Gate editor fixes
Quantum Computing APK -Informationen
Alte Versionen von Quantum Computing
Quantum Computing 0.19.3–210731
Quantum Computing 0.18.7–201228
Quantum Computing 0.17.8–200702
Quantum Computing 0.17.7–200625
Superschnelles und sicheres Herunterladen über die APKPure-App
Ein Klick zur Installation von XAPK/APK-Dateien auf Android!







