Giới thiệu về Quantum Computing
Tạo và thực hiện các mạch lượng tử đơn giản khi đang di chuyển
Một phần mềm dành cho Android mô phỏng các hoạt động của máy tính lượng tử
về cơ bản là một trình mô phỏng máy tính lượng tử với chức năng hạn chế
Mục đích chính của nó là cho phép mọi người thử nghiệm, ngay cả khi đang di chuyển. Vì ứng dụng này chỉ là một trình giả lập, nó có thể hiển thị vị trí của các qubit trên khối cầu. Ứng dụng này cũng có thể hiển thị trạng thái của hệ thống (ở chế độ xác suất) và cổng đơn nhất cuối cùng cũng sẽ sớm có thể truy cập được. Giới hạn chỉ là sức mạnh tính toán của thiết bị của bạn!
Giúp thử nghiệm và tham gia chương trình beta để có chức năng mới!
Bạn có thể áp dụng bất kỳ ma trận nào cho qubit của mình miễn là chúng là thành viên của nhóm SU (n) & # 8211; chúng phải đơn nhất và phải có một yếu tố quyết định đơn vị.
Giới thiệu về chương trình phụ trợ
Ứng dụng này sử dụng một chương trình phụ trợ tự tạo để mô phỏng các mạch lượng tử. Nó không chưa hoạt động với tiếng ồn. Phần phụ trợ được viết bằng Java và toàn bộ mã nguồn có thể được tìm thấy trên GitHub tại hexadec / Quantum
Xin lưu ý rằng thứ tự qubit trong ứng dụng này là Big-Endian , có nghĩa là trong một cổng nhiều qubit luôn luôn tham số đầu tiên là bit cuối cùng trong statevector, trong khi một số hệ thống nổi tiếng khác là Little-Endian , do đó hầu hết các ma trận cổng đa qubit cần chuyển đổi!
Các tính năng chính
& # 8226; & # 8195; Nhiều nhất là 10 qubit
& # 8226; & # 8195; Gates có nhiều nhất 4 qubit
& # 8226; & # 8195; Số lượng ảnh chụp cực cao (lên đến 2 ^ 20)
& # 8226; & # 8195; Rất nhiều cổng được xác định trước
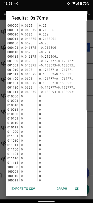
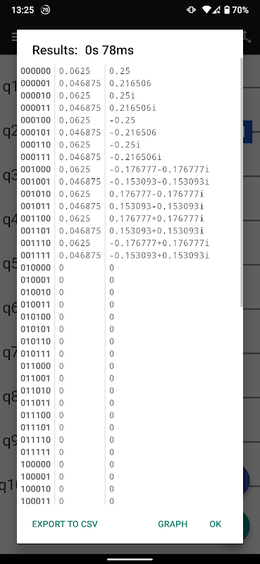
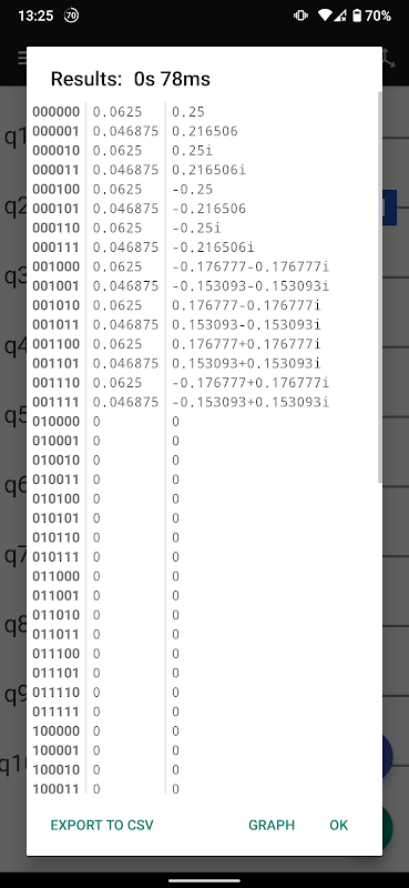
& # 8226; & # 8195; Nhận kết quả ngay lập tức
& # 8226; & # 8195; Xuất kết quả
& # 8226; & # 8195; Nhập / Xuất chuỗi cổng, xuất dưới dạng OpenQASM
& # 8226; & # 8195; Lấy liên hợp hermitian của bất kỳ cổng nào
& # 8226; & # 8195; Hiển thị hình cầu đốm (đối với các qubit không vướng víu)
& # 8226; & # 8195; Hiển thị trạng thái của hệ thống
& # 8226; & # 8195; Tối ưu hóa mạch tự động và chọn tham gia
Cổng qubit đơn được xác định trước
& # 8226; & # 8195; Hadamard
& # 8226; & # 8195; Pauli-X / Y / Z
& # 8226; & # 8195; Cổng chữ S & T (lệch pha)
& # 8226; & # 8195; √ KHÔNG
& # 8226; & # 8195; Danh tính
& # 8226; & # 8195; U3
Nhiều cổng qubit được xác định trước
& # 8226; & # 8195; CNOT / CY / CZ (Kiểm soát-Pauli)
& # 8226; & # 8195; Cổng có Kiểm soát-S, Kiểm soát-T và Kiểm soát-Hadamard
& # 8226; & # 8195; U3 được kiểm soát
& # 8226; & # 8195; SWAP
& # 8226; & # 8195; Toffoli
& # 8226; & # 8195; Fredkin
& # 8226; & # 8195; Biến đổi Fourier Lượng tử
Các tính năng được lập kế hoạch
Tạo và chạy các thuật toán với các vòng lặp và điều kiện
Hiển thị ma trận đơn nhất cuối cùng cho các mạch nhỏ hơn
Hình dung trạng thái đa qubit tốt hơn
Người dịch được chào đón tại kho GitHub:
https://github.com/hexadec/Quantum/blob/master/app/src/main/res/values/strings.xml
What's new in the latest 0.19.3–210731
- Fixed an extremely rare bug that caused the app to crash
0.19.1 & 0.19.2:
- Fixed a bug that crashed the app when the screen was rotated
- UX improvements
- Save the statevector so that the second run will be a lot faster
- Gate editor fixes
Thông tin APK Quantum Computing
Phiên bản cũ của Quantum Computing
Quantum Computing 0.19.3–210731
Quantum Computing 0.18.7–201228
Quantum Computing 0.17.8–200702
Quantum Computing 0.17.7–200625
Tải xuống siêu nhanh và an toàn thông qua Ứng dụng APKPure
Một cú nhấp chuột để cài đặt các tệp XAPK/APK trên Android!







