O Quantum Computing
Twórz i wykonuj proste obwody kwantowe w drodze
Oprogramowanie na Androida, które naśladuje działanie komputera kwantowego
zasadniczo kwantowy symulator komputerowy o ograniczonej funkcjonalności
Jego głównym celem jest umożliwienie testowania wszystkim, nawet w ruchu. Ponieważ ta aplikacja jest tylko emulatorem, może pokazywać położenie kubitów na sferze blocha. Ta aplikacja może również pokazywać wektor stanu systemu (w trybie prawdopodobieństwa), a ostateczna jednolita brama również będzie wkrótce dostępna. Ograniczeniem jest tylko moc obliczeniowa Twojego urządzenia!
Pomóż w testowaniu i dołącz do programu beta, aby uzyskać nowe funkcje!
Możesz zastosować dowolne macierze do swoich kubitów, o ile należą one do grupy SU (n) & # 8211; muszą być jednolite i mieć wyznacznik jednostkowy.
O zapleczu
Aplikacja korzysta z własnego zaplecza do symulacji obwodów kwantowych. Nie jeszcze działa z hałasem. Backend jest napisany w Javie, a cały kod źródłowy można znaleźć na GitHub pod adresem hexadec / Quantum
Należy pamiętać, że kolejność kubitów w tej aplikacji to Big-Endian , co oznacza, że w bramce z wieloma kubitami zawsze pierwszym parametrem jest ostatni bit w wektorze stanu, podczas gdy w innych dobrze znanych systemach Little-Endian , dlatego większość macierzy bramek z wieloma kubitami wymaga konwersji!
Główne cechy
& # 8226; & # 8195; Co najwyżej 10 kubitów
Bramki & # 8226; & # 8195; z maksymalnie 4 kubitami
& # 8226; & # 8195; Niezwykle duża liczba strzałów (do 2 ^ 20)
& # 8226; & # 8195; Wiele predefiniowanych bramek
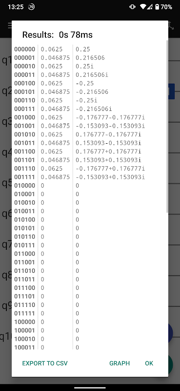
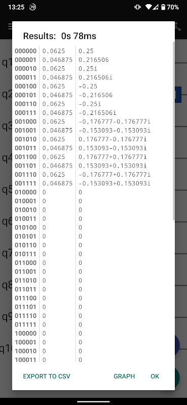
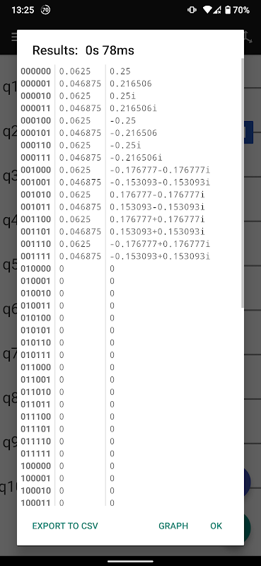
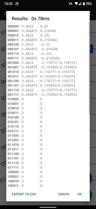
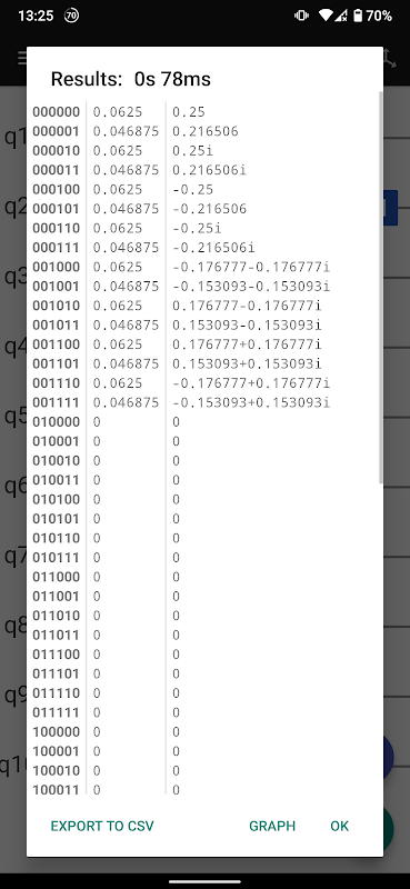
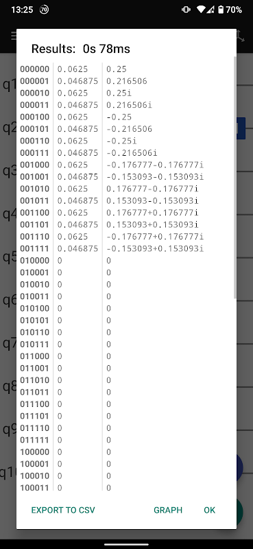
& # 8226; & # 8195; Uzyskaj wyniki natychmiast
& # 8226; & # 8195; Eksportuj wyniki
& # 8226; & # 8195; Importuj / eksportuj sekwencje bramek, eksportuj jako OpenQASM
& # 8226; & # 8195; Weź koniugat pustelnika z dowolnej bramy
& # 8226; & # 8195; Pokaż kulę Blocha (dla nieplątanych kubitów)
& # 8226; & # 8195; Pokaż wektor stanu systemu
& # 8226; & # 8195; Optymalizacja obwodu automatycznego i opt-in
Predefiniowane pojedyncze bramki kubitowe
& # 8226; & # 8195; Hadamard
& # 8226; & # 8195; Pauli-X / Y / Z
& # 8226; & # 8195; bramka S i bramka T (przesunięcie fazowe)
& # 8226; & # 8195; √ NIE
& # 8226; & # 8195; tożsamość
& # 8226; & # 8195; U3
Predefiniowane bramki dla wielu kubitów
& # 8226; & # 8195; CNOT / CY / CZ (kontrolowane-Pauli)
Bramy & # 8226; & # 8195; Controlled-S, Controlled-T i Controlled-Hadamard
& # 8226; & # 8195; kontrolowane U3
& # 8226; & # 8195; SWAP
& # 8226; & # 8195; Toffoli
& # 8226; & # 8195; Fredkin
& # 8226; & # 8195; Kwantowa transformata Fouriera
Planowane funkcje
Twórz i uruchamiaj algorytmy z pętlami i warunkami
Wyświetl ostateczną jednostkową macierz dla mniejszych obwodów
Lepiej wizualizuj stany wielu kubitów
Zapraszamy tłumaczy do repozytorium GitHub:
https://github.com/hexadec/Quantum/blob/master/app/src/main/res/values/strings.xml
What's new in the latest 0.19.3–210731
- Fixed an extremely rare bug that caused the app to crash
0.19.1 & 0.19.2:
- Fixed a bug that crashed the app when the screen was rotated
- UX improvements
- Save the statevector so that the second run will be a lot faster
- Gate editor fixes
Informacje Quantum Computing APK
Stare wersje Quantum Computing
Quantum Computing 0.19.3–210731
Quantum Computing 0.18.7–201228
Quantum Computing 0.17.8–200702
Quantum Computing 0.17.7–200625
Superszybkie i bezpieczne pobieranie za pośrednictwem aplikacji APKPure
Jedno kliknięcie, aby zainstalować pliki XAPK/APK na Androidzie!







