Tentang Quantum Computing
Buat dan jalankan sirkuit kuantum sederhana saat bepergian
Perangkat lunak untuk Android yang mengemulasi tindakan komputer kuantum
pada dasarnya simulator komputer kuantum dengan fungsionalitas terbatas
Tujuan utamanya adalah mengaktifkan pengujian untuk semua orang, bahkan saat dalam perjalanan. Karena aplikasi ini hanya emulator, aplikasi ini dapat menunjukkan posisi qubit di bidang bloch. Aplikasi ini juga dapat menampilkan statevector dari sistem (dalam mode probabilitas) dan gerbang kesatuan terakhir juga akan segera dapat diakses. Batasannya hanyalah daya komputasi perangkat Anda!
Bantu pengujian dan bergabunglah dengan program beta untuk mendapatkan fungsionalitas baru!
Anda dapat menerapkan matriks apa pun ke qubit Anda selama mereka adalah anggota grup SU (n) & # 8211; mereka harus bersatu dan harus memiliki determinan satuan.
Tentang backend
Aplikasi menggunakan backend buatan sendiri untuk mensimulasikan rangkaian kuantum. Ini tidak belum bekerja dengan kebisingan. Backend ditulis dalam Java dan seluruh kode sumber dapat ditemukan di GitHub di hexadec / Quantum
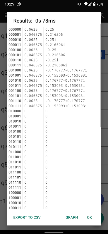
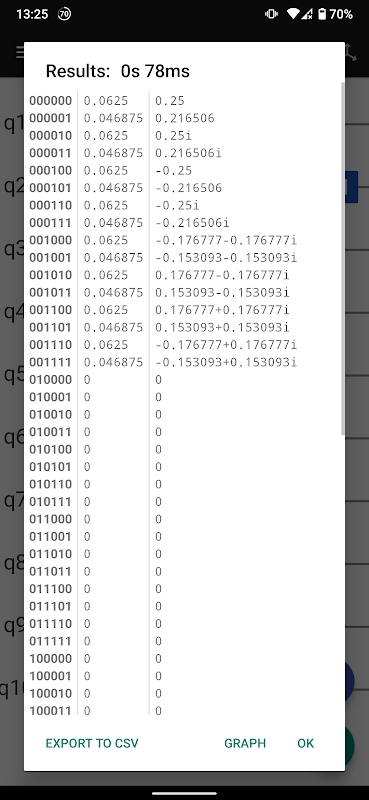
Perlu diketahui bahwa urutan qubit dalam aplikasi ini adalah Big-Endian , artinya dalam gerbang multi-qubit selalu parameter pertama adalah bit terakhir di statevector, sedangkan beberapa sistem terkenal lainnya adalah Little-Endian , jadi sebagian besar matriks gerbang multi-qubit membutuhkan konversi!
Fitur utama
& # 8226; & # 8195; Maksimal 10 qubit
& # 8226; & # 8195; Gerbang dengan maksimal 4 qubit
& # 8226; & # 8195; Jumlah bidikan yang sangat tinggi (hingga 2 ^ 20)
& # 8226; & # 8195; Banyak gerbang yang telah ditentukan sebelumnya
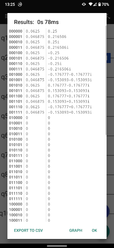
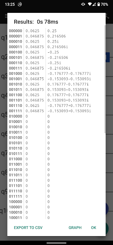
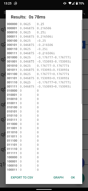
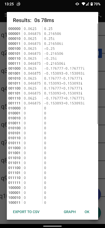
& # 8226; & # 8195; Dapatkan hasil segera
& # 8226; & # 8195; Ekspor hasil
& # 8226; & # 8195; Urutan gerbang Impor / Ekspor, ekspor sebagai OpenQASM
& # 8226; & # 8195; Ambil konjugat pertapa dari gerbang mana pun
& # 8226; & # 8195; Tampilkan bola bloch (untuk qubit yang tidak terjerat)
& # 8226; & # 8195; Menampilkan vektor status sistem
& # 8226; & # 8195; Pengoptimalan sirkuit Otomatis dan Keikutsertaan
Gerbang qubit tunggal yang ditentukan sebelumnya
& # 8226; & # 8195; Hadamard
& # 8226; & # 8195; Pauli-X / Y / Z
& # 8226; & # 8195; Gerbang-S & Gerbang-T (pergeseran fase)
& # 8226; & # 8195; √Tidak
& # 8226; & # 8195; Identitas
& # 8226; & # 8195; U3
Gerbang multi qubit yang telah ditentukan sebelumnya
& # 8226; & # 8195; CNOT / CY / CZ (Controlled-Pauli)
& # 8226; & # 8195; Controlled-S, Controlled-T dan Controlled-Hadamard gate
& # 8226; & # 8195; U3 Terkendali
& # 8226; & # 8195; SWAP
& # 8226; & # 8195; Toffoli
& # 8226; & # 8195; Fredkin
& # 8226; & # 8195; Transformasi Fourier Kuantum
Fitur yang direncanakan
Buat dan jalankan algoritme dengan loop dan kondisi
Tampilkan matriks kesatuan akhir untuk sirkuit yang lebih kecil
Visualisasikan status multi-qubit dengan lebih baik
Penerjemah disambut di gudang GitHub:
https://github.com/hexadec/Quantum/blob/master/app/src/main/res/values/strings.xml
What's new in the latest 0.19.3–210731
- Fixed an extremely rare bug that caused the app to crash
0.19.1 & 0.19.2:
- Fixed a bug that crashed the app when the screen was rotated
- UX improvements
- Save the statevector so that the second run will be a lot faster
- Gate editor fixes
Informasi APK Quantum Computing
Versi lama Quantum Computing
Quantum Computing 0.19.3–210731
Quantum Computing 0.18.7–201228
Quantum Computing 0.17.8–200702
Quantum Computing 0.17.7–200625
Pengunduhan Super cepat dan aman melalui aplikasi APKPure
Sekali klik untuk menginstal file XAPK/APK di Android!







