Sobre este Quantum Computing
Crie e execute circuitos quânticos simples em movimento
Um software para Android que emula as ações de um computador quântico
essencialmente um simulador de computador quântico com funcionalidade limitada
Seu objetivo principal é permitir o teste para todos, mesmo em trânsito. Como este aplicativo é apenas um emulador, ele pode mostrar a posição dos qubits na esfera do bloco. Este aplicativo também pode mostrar o vetor de estado do sistema (no modo de probabilidade) e a porta unitária final também estará acessível em breve. O limite é apenas o poder de computação do seu dispositivo!
Ajude a testar e aderir ao programa beta para obter novas funcionalidades!
Você pode aplicar quaisquer matrizes aos seus qubits, desde que sejam membros do grupo SU (n) & # 8211; eles têm que ser unitários e ter um determinante de unidade.
Sobre o back-end
O aplicativo usa um back-end caseiro para simular circuitos quânticos. Não ainda funciona com ruído. O backend é escrito em Java e todo o código-fonte pode ser encontrado no GitHub em hexadec / Quantum
Esteja ciente de que a ordem qubit neste aplicativo é Big-Endian , o que significa que em uma porta multi-qubit sempre o primeiro parâmetro é o último bit no vetor de estado, enquanto alguns outros sistemas bem conhecidos são Little-Endian , portanto, a maioria das matrizes de portas multi-qubit precisam de conversão!
Principais recursos
& # 8226; & # 8195; No máximo 10 qubits
& # 8226; & # 8195; Portas com no máximo 4 qubits
& # 8226; & # 8195; Número extremamente alto de fotos (até 2 ^ 20)
& # 8226; & # 8195; Muitas portas predefinidas
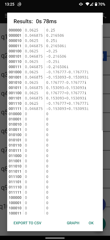
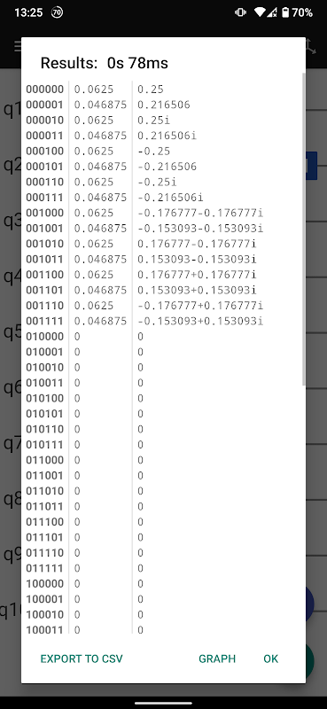
& # 8226; & # 8195; Obtenha resultados imediatamente
& # 8226; & # 8195; Exportar resultados
& # 8226; & # 8195; Importar / exportar sequência de porta, exportar como OpenQASM
& # 8226; & # 8195; Pegue o conjugado hermitiano de qualquer portão
& # 8226; & # 8195; Mostrar esfera de bloco (para qubits não emaranhados)
& # 8226; & # 8195; Mostrar o vetor de estado do sistema
& # 8226; & # 8195; Otimização do circuito automático e opt-in
Portas qubit simples predefinidas
& # 8226; & # 8195; Hadamard
& # 8226; & # 8195; Pauli-X / Y / Z
& # 8226; & # 8195; Portas S e T (mudança de fase)
& # 8226; & # 8195; √NÃO
& # 8226; & # 8195; Identidade
& # 8226; & # 8195; U3
Portas multi qubit predefinidas
& # 8226; & # 8195; CNOT / CY / CZ (Controlado-Pauli)
& # 8226; & # 8195; Portões S, T e Hadamard controlados
& # 8226; & # 8195; U3 controlado
& # 8226; & # 8195; SWAP
& # 8226; & # 8195; Toffoli
& # 8226; & # 8195; Fredkin
& # 8226; & # 8195; Transformada Quantum Fourier
Recursos planejados
Crie e execute algoritmos com loops e condições
Exibir matriz unitária final para circuitos menores
Visualize melhor os estados multi-qubit
Os tradutores são bem-vindos no repositório GitHub:
https://github.com/hexadec/Quantum/blob/master/app/src/main/res/values/strings.xml
Novidades em 0.19.3–210731 mais recente
- Fixed an extremely rare bug that caused the app to crash
0.19.1 & 0.19.2:
- Fixed a bug that crashed the app when the screen was rotated
- UX improvements
- Save the statevector so that the second run will be a lot faster
- Gate editor fixes
Informações sobre Quantum Computing APK
Versões Antigas de Quantum Computing
Quantum Computing 0.19.3–210731
Quantum Computing 0.18.7–201228
Quantum Computing 0.17.8–200702
Quantum Computing 0.17.7–200625
Baixar de Forma Rápida e Segura via APKPure App
Um clique para instalar arquivos XAPK/APK no Android!







