Acerca del Quantum Computing
Crea y ejecuta circuitos cuánticos simples sobre la marcha
Un software para Android que emula las acciones de una computadora cuántica
esencialmente un simulador de computadora cuántica con funcionalidad limitada
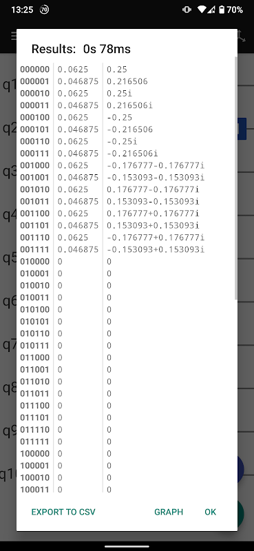
Su objetivo principal es permitir la realización de pruebas a todo el mundo, incluso sobre la marcha. Dado que esta aplicación es solo un emulador, puede mostrar la posición de los qubits en la esfera de bloch. Esta aplicación también puede mostrar el vector de estado del sistema (en modo de probabilidad) y la puerta unitaria final también estará disponible pronto. ¡El límite es solo la potencia de cálculo de su dispositivo!
¡Ayude a realizar pruebas y únase al programa beta para obtener nuevas funciones!
Puede aplicar cualquier matriz a sus qubits siempre que sean miembros del grupo SU (n) & # 8211; tienen que ser unitarios y tener una unidad determinante.
Acerca del backend
La aplicación utiliza un backend casero para simular circuitos cuánticos. todavía no funciona con ruido. El backend está escrito en Java y el código fuente completo se puede encontrar en GitHub en hexadec / Quantum
Tenga en cuenta que el orden de los qubit en esta aplicación es Big-Endian , lo que significa que en una puerta de varios qubit siempre el primer parámetro es el último bit en el vector de estado, mientras que otros sistemas conocidos son Little-Endian , por lo que la mayoría de las matrices de puertas de varios qubit necesitan conversión.
Funciones principales
& # 8226; & # 8195; Como máximo 10 qubits
& # 8226; & # 8195; Puertas con un máximo de 4 qubits
& # 8226; & # 8195; Número extremadamente alto de disparos (hasta 2 ^ 20)
& # 8226; & # 8195; Muchas puertas predefinidas
& # 8226; & # 8195; Obtenga resultados inmediatamente
& # 8226; & # 8195; Exportar resultados
& # 8226; & # 8195; Importar / Exportar secuencia de puerta, exportar como OpenQASM
& # 8226; & # 8195; Toma el conjugado ermitaño de cualquier puerta
& # 8226; & # 8195; Mostrar esfera bloch (para qubits no entrelazados)
& # 8226; & # 8195; Muestra el vector de estado del sistema
& # 8226; & # 8195; Optimización de circuito automático y opt-in
Puertas de qubit individuales predefinidas
& # 8226; & # 8195; Hadamard
& # 8226; & # 8195; Pauli-X / Y / Z
& # 8226; & # 8195; Puerta S y puerta T (cambio de fase)
& # 8226; & # 8195; √NO
& # 8226; & # 8195; Identidad
& # 8226; & # 8195; U3
Puertas multi qubit predefinidas
& # 8226; & # 8195; CNOT / CY / CZ (Controlado-Pauli)
Puertas & # 8226; & # 8195; Controlled-S, Controlled-T y Controlled-Hadamard
& # 8226; & # 8195; U3 controlado
& # 8226; & # 8195; INTERCAMBIAR
& # 8226; & # 8195; Toffoli
& # 8226; & # 8195; Fredkin
& # 8226; & # 8195; Transformada cuántica de Fourier
Funciones planificadas
Cree y ejecute algoritmos con bucles y condiciones
Mostrar matriz unitaria final para circuitos más pequeños
Visualice mejor los estados de varios qubit
Los traductores son bienvenidos en el repositorio de GitHub:
https://github.com/hexadec/Quantum/blob/master/app/src/main/res/values/strings.xml
Novedades más recientes 0.19.3–210731
- Fixed an extremely rare bug that caused the app to crash
0.19.1 & 0.19.2:
- Fixed a bug that crashed the app when the screen was rotated
- UX improvements
- Save the statevector so that the second run will be a lot faster
- Gate editor fixes
Información de Quantum Computing APK
Versiones Antiguas de Quantum Computing
Quantum Computing 0.19.3–210731
Quantum Computing 0.18.7–201228
Quantum Computing 0.17.8–200702
Quantum Computing 0.17.7–200625
Descarga rápida y segura a través de APKPure App
¡Un clic para instalar archivos XAPK/APK en Android!







