このQuantum Computingについて
外出先で簡単な量子回路を作成して実行する
量子コンピューターの動作をエミュレートするAndroid用ソフトウェア
基本的に機能が制限された量子コンピューターシミュレーター
主な目的は、外出先でもすべての人がテストできるようにすることです。このアプリはエミュレーターにすぎないため、ブロッホ球上のキュービットの位置を表示できます。このアプリは、システムの状態ベクトルを(確率モードで)表示することもでき、最終的なユニタリーゲートにもまもなくアクセスできるようになります。限界はあなたのデバイスの計算能力だけです!
テストを支援し、新機能のベータプログラムに参加してください!
グループSU(n)–のメンバーである限り、任意の行列をキュービットに適用できます。それらは単一である必要があり、単位行列式を持っている必要があります。
バックエンドについて
このアプリケーションは、量子回路をシミュレートするために自家製のバックエンドを使用します。ノイズにはまだ機能しません。バックエンドはJavaで記述されており、ソースコード全体はGitHubの hexadec / Quantum にあります。
このアプリケーションのキュービット順序はビッグエンディアンであることに注意してください。つまり、マルチキュービットゲートでは、常に最初のパラメータが状態ベクトルの最後のビットですが、他のよく知られたシステムはリトルエンディアン、したがって、ほとんどのマルチキュービットゲート行列は変換が必要です!
主な機能
• 最大10キュービット
• 最大4キュービットのゲート
• 非常に多くのショット(最大2 ^ 20)
• 事前定義されたゲートがたくさん
• すぐに結果を取得
• 結果をエクスポート
• ゲートシーケンスのインポート/エクスポート、OpenQASMとしてエクスポート
• 任意のゲートのエルミート共役を取る
• ブロッホ球を表示(エンタングルされていないキュービットの場合)
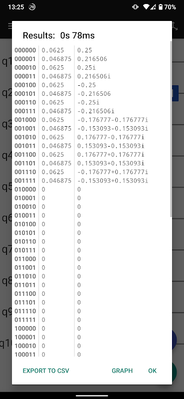
• システムの状態ベクトルを表示する
• 自動およびオプトイン回路の最適化
事前定義された単一量子ビットゲート
• アダマール
•  Pauli-X / Y / Z
•  SゲートとTゲート(位相シフト)
• √NOT
• アイデンティティ
•  U3
事前定義されたマルチキュービットゲート
•  CNOT / CY / CZ(制御-パウリ)
•  Controlled-S、Controlled-T、およびControlled-Hadamardゲート
• 制御されたU3
• スワップ
• トフォリ
• フレドキン
• 量子フーリエ変換
計画されている機能
ループと条件を使用してアルゴリズムを作成して実行します
小さな回路の最終的なユニタリ行列を表示する
マルチキュービット状態をより適切に視覚化する
翻訳者はGitHubリポジトリで歓迎されています:
https://github.com/hexadec/Quantum/blob/master/app/src/main/res/values/strings.xml
最新バージョン 0.19.3–210731 の更新情報
- Fixed an extremely rare bug that caused the app to crash
0.19.1 & 0.19.2:
- Fixed a bug that crashed the app when the screen was rotated
- UX improvements
- Save the statevector so that the second run will be a lot faster
- Gate editor fixes







