Quantum Computing 정보
이동 중에도 간단한 양자 회로 생성 및 실행
양자 컴퓨터의 동작을 모방하는 Android 용 소프트웨어
본질적으로 제한된 기능을 가진 양자 컴퓨터 시뮬레이터
주요 목적은 이동 중에도 모든 사람이 테스트 할 수 있도록하는 것입니다. 이 앱은 에뮬레이터 일 뿐이므로 bloch 영역에서 큐 비트의 위치를 표시 할 수 있습니다. 이 앱은 시스템의 상태 벡터 (확률 모드)도 표시 할 수 있으며 최종 단일 게이트도 곧 액세스 할 수 있습니다. 한계는 장치의 컴퓨팅 성능입니다!
테스트를 도와주고 새로운 기능을위한 베타 프로그램에 참여하세요!
큐 비트가 SU (n) & # 8211; 그룹의 구성원 인 한 모든 행렬을 큐 비트에 적용 할 수 있습니다. 그것들은 단일이어야하고 단위 결정자가 있어야합니다.
백엔드 정보
이 애플리케이션은 양자 회로를 시뮬레이션하기 위해 집에서 만든 백엔드를 사용합니다. 소음이 아직 작동하지 않습니다. 백엔드는 Java로 작성되었으며 전체 소스 코드는 hexadec / Quantum 의 GitHub에서 찾을 수 있습니다.
이 응용 프로그램의 큐 비트 순서는 Big-Endian 입니다. 즉, 다중 큐 비트 게이트에서 항상 첫 번째 매개 변수는 상태 벡터의 마지막 비트 인 반면 다른 잘 알려진 시스템은 Little-Endian , 따라서 대부분의 다중 큐 비트 게이트 행렬은 변환이 필요합니다!
주요 기능
& # 8226; & # 8195; 최대 10 큐 비트
& # 8226; & # 8195; 최대 4 큐 비트의 게이트
& # 8226; & # 8195; 매우 많은 샷 (최대 2 ^ 20)
많은 사전 정의 된 게이트
& # 8226; & # 8195; 즉시 결과 얻기
& # 8226; & # 8195; 결과 내보내기
게이트 시퀀스 가져 오기 / 내보내기, OpenQASM으로 내보내기
& # 8226; & # 8195; 모든 게이트의 은자 켤레 가져 오기
& # 8226; & # 8195; 블록 구 표시 (얽 히지 않은 큐 비트 용)
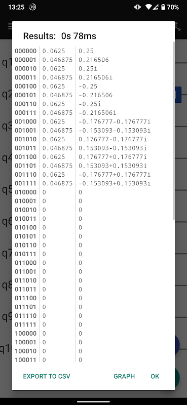
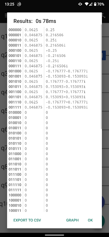
& # 8226; & # 8195; 시스템의 상태 벡터 표시
& # 8226; & # 8195; 자동 및 옵트 인 회로 최적화
사전 정의 된 단일 큐 비트 게이트
아다 마르
& # 8226; & # 8195; Pauli-X / Y / Z
& # 8226; & # 8195; S- 게이트 및 T- 게이트 (위상 편이)
& # 8226; & # 8195; √ 아니요
& # 8226; & # 8195; 신분
U3
사전 정의 된 멀티 큐 비트 게이트
& # 8226; & # 8195; CNOT / CY / CZ (Controlled-Pauli)
& # 8226; & # 8195; Controlled-S, Controlled-T 및 Controlled-Hadamard 게이트
& # 8226; & # 8195; 통제 U3
& # 8226; & # 8195; SWAP
& # 8226; & # 8195; 토 폴리
프레드킨 (Fredkin)
& # 8226; & # 8195; 양자 푸리에 변환
계획된 기능
루프 및 조건이있는 알고리즘 생성 및 실행
더 작은 회로를위한 최종 단일 행렬 표시
다중 큐 비트 상태를 더 잘 시각화
번역가는 GitHub 저장소에서 환영합니다.
https://github.com/hexadec/Quantum/blob/master/app/src/main/res/values/strings.xml
What's new in the latest 0.19.3–210731
- Fixed an extremely rare bug that caused the app to crash
0.19.1 & 0.19.2:
- Fixed a bug that crashed the app when the screen was rotated
- UX improvements
- Save the statevector so that the second run will be a lot faster
- Gate editor fixes







