عن Quantum Computing
إنشاء وتنفيذ دوائر الكم بسيطة أثناء التنقل
برنامج لنظام Android يحاكي إجراءات الكمبيوتر الكمومي
بشكل أساسي محاكي كمبيوتر كمي بوظائف محدودة
الغرض الرئيسي منه هو تمكين الجميع من إجراء الاختبار ، حتى أثناء التنقل. نظرًا لأن هذا التطبيق هو مجرد محاكي ، فيمكنه إظهار موضع الكيوبتات على كرة بلوخ. يمكن لهذا التطبيق أيضًا إظهار statevector الخاص بالنظام (في وضع الاحتمال) وسيتم أيضًا الوصول إلى البوابة الوحدوية النهائية قريبًا. الحد هو فقط قوة الحوسبة لجهازك!
ساعد في الاختبار والانضمام إلى برنامج بيتا للحصول على وظائف جديدة!
يمكنك تطبيق أي مصفوفات على الكيوبتات الخاصة بك طالما أنهم أعضاء في المجموعة SU (n) & # 8211 ؛ يجب أن تكون وحدوية ويجب أن يكون لها محدد وحدة.
حول الخلفية
يستخدم التطبيق خلفية محلية الصنع لمحاكاة الدوائر الكمومية. إنه لا يعمل مع الضوضاء حتى الآن . تمت كتابة الواجهة الخلفية بلغة Java ويمكن العثور على شفرة المصدر بالكامل على GitHub على hexadec / Quantum
يرجى الانتباه إلى أن ترتيب qubit في هذا التطبيق هو Big-Endian ، مما يعني أنه في البوابة متعددة الكيوبتات دائمًا ما تكون المعلمة الأولى هي آخر بت في statevector ، في حين أن بعض الأنظمة الأخرى المعروفة هي Little-Endian ، وبالتالي فإن معظم مصفوفات البوابة متعددة الكيوبتات تحتاج إلى تحويل!
الميزات الرئيسية
& # 8226 ؛ & # 8195 ؛ 10 كيوبت على الأكثر
& # 8226 ؛ & # 8195 ؛ غيتس مع 4 كيوبت على الأكثر
& # 8226 ؛ & # 8195 ؛ عدد كبير للغاية من الطلقات (حتى 2 ^ 20)
& # 8226 ؛ & # 8195 ؛ الكثير من البوابات المحددة مسبقًا
& # 8226 ؛ & # 8195 ؛ احصل على النتائج على الفور
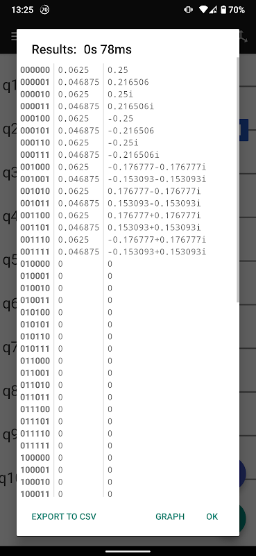
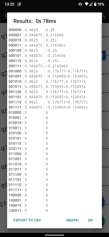
& # 8226 ؛ & # 8195 ؛ تصدير النتائج
& # 8226 ؛ & # 8195 ؛ تسلسل بوابة الاستيراد / التصدير ، والتصدير كـ OpenQASM
& # 8226 ؛ & # 8195 ؛ خذ اقتران الناسك من أي بوابة
& # 8226 ؛ & # 8195 ؛ إظهار كرة بلوخ (للكيوبتات غير المتشابكة)
& # 8226 ؛ & # 8195 ؛ إظهار مصدر الحالة للنظام
& # 8226 ؛ & # 8195 ؛ تحسين الدائرة التلقائية والاشتراك
بوابات كيوبت فردية محددة مسبقًا
& # 8226 ؛ & # 8195 ؛ هادامارد
& # 8226 ؛ & # 8195 ؛ باولي- X / Y / Z
& # 8226 ؛ & # 8195 ؛ S-gate & T-gate (مرحلة التحول)
& # 8226 ؛ & # 8195 ؛ √ لا
& # 8226 ؛ & # 8195 ؛ الهوية
& # 8226 ؛ & # 8195 ؛ U3
بوابات متعددة كيوبت محددة مسبقًا
& # 8226 ؛ & # 8195 ؛ CNOT / CY / CZ (الخاضع للرقابة- باولي)
& # 8226 ؛ & # 8195 ؛ بوابات Hadamard الخاضعة للرقابة ، والسيطرة عليها ، و Hadamard
& # 8226 ؛ & # 8195 ؛ التحكم U3
& # 8226 ؛ & # 8195 ؛ مبادلة
& # 8226 ؛ & # 8195 ؛ توفولي
& # 8226 ؛ & # 8195 ؛ فريدكين
& # 8226 ؛ & # 8195 ؛ تحويل فورييه الكمي
الميزات المخطط لها
إنشاء وتشغيل الخوارزميات مع الحلقات والشروط
عرض المصفوفة الوحدوية النهائية للدوائر الأصغر
تصور حالات متعددة كيوبت بشكل أفضل
يتم الترحيب بالمترجمين في مستودع GitHub:
https://github.com/hexadec/Quantum/blob/master/app/src/main/res/values/strings.xml
What's new in the latest 0.19.3–210731
- Fixed an extremely rare bug that caused the app to crash
0.19.1 & 0.19.2:
- Fixed a bug that crashed the app when the screen was rotated
- UX improvements
- Save the statevector so that the second run will be a lot faster
- Gate editor fixes
معلومات Quantum Computing APK
الإصدارات القديمة لـ Quantum Computing
Quantum Computing 0.19.3–210731
Quantum Computing 0.18.7–201228
Quantum Computing 0.17.8–200702
Quantum Computing 0.17.7–200625
قم بتنزيل سريع وآمن بالغاية عبر تطبيق APKPure
قم بتثبيت ملفات XAPK/APK بنقرة واحدة على أندرويد!







