关于Quantum Computing
随时随地创建和执行简单的量子电路
一款用于模拟量子计算机动作的Android软件
本质上是功能受限的量子计算机模拟器
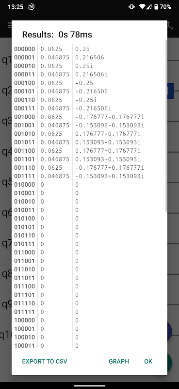
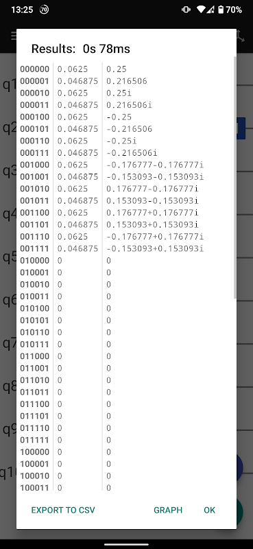
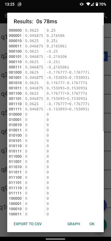
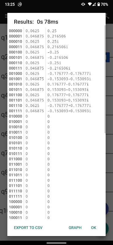
它的主要目的是即使在旅途中也可以对所有人进行测试。由于此应用程序只是一个模拟器,因此它可以显示bloch球体上qubit的位置。这个应用程序还可以显示系统的状态向量(在概率模式下),最终的统一门也将很快可用。限制仅是设备的计算能力!
帮助测试并加入Beta程序以获得新功能!
您可以将任何矩阵应用于您的量子位,只要它们是组SU(n)–的成员即可。它们必须是统一的,并且必须具有单位决定因素。
关于后端
该应用程序使用自制的后端来模拟量子电路。它还无法正常工作。后端是用Java编写的,整个源代码可以在GitHub上的 hexadec / Quantum 上找到。
请注意,此应用程序中的qubit顺序为 Big-Endian ,这意味着在多qubit门中,第一个参数始终是状态向量中的最后一位,而其他一些知名系统则是 Little-Endian ,因此大多数多量子位门矩阵都需要转换!
主要功能
• 最多10个量子位
• 门最多具有4个量子位
• 极高的拍摄数量(最多2 ^ 20)
• 很多预定义的门
• 立即获得结果
• 导出结果
• 导入/导出门序列,导出为OpenQASM
• 采用任意门的厄米共轭
• 显示bloch球体(用于非纠缠的量子比特)
• 显示系统的状态向量
• 自动和选择加入电路的优化
预定义的单量子位门
• 哈达玛
• 保利X / Y / Z
•  S门和T门(相移)
• √不
• 身份
•  U3
预定义的多量子位门
•  CNOT / CY / CZ(保利保利)
• 受控S,受控T和受控Hadamard门
• 受控U3
• 交换
• 托菲利
• 弗雷德金
• 量子傅立叶变换
计划的功能
使用循环和条件创建和运行算法
显示较小电路的最终unit矩阵
更好地可视化多量子位状态
GitHub存储库欢迎翻译人员:
https://github.com/hexadec/Quantum/blob/master/app/src/main/res/values/strings.xml
最新版本0.19.3–210731的更新日志
- Fixed an extremely rare bug that caused the app to crash
0.19.1 & 0.19.2:
- Fixed a bug that crashed the app when the screen was rotated
- UX improvements
- Save the statevector so that the second run will be a lot faster
- Gate editor fixes







