關於Quantum Computing
隨時隨地創建和執行簡單的量子電路
一款用於模擬量子計算機動作的Android軟件
本質上是功能受限的量子計算機模擬器
它的主要目的是即使在旅途中也可以對所有人進行測試。由於此應用程序只是一個模擬器,因此它可以顯示bloch球體上qubit的位置。這個應用程序還可以顯示系統的狀態向量(在概率模式下),最終的統一門也將很快可用。限制僅是設備的計算能力!
幫助測試並加入Beta程序以獲得新功能!
您可以將任何矩陣應用於您的量子位,只要它們是組SU(n)–的成員即可。它們必須是統一的,並且必須具有單位決定因素。
關於後端
該應用程序使用自製的後端來模擬量子電路。它還無法正常工作。後端是用Java編寫的,整個源代碼可以在GitHub上的 hexadec / Quantum 上找到。
請注意,此應用程序中的qubit順序為 Big-Endian ,這意味著在多qubit門中,第一個參數始終是狀態向量中的最後一位,而其他一些知名系統則是 Little-Endian ,因此大多數多量子位門矩陣都需要轉換!
主要功能
• 最多10個量子位
• 門最多具有4個量子位
• 極高的拍攝數量(最多2 ^ 20)
• 很多預定義的門
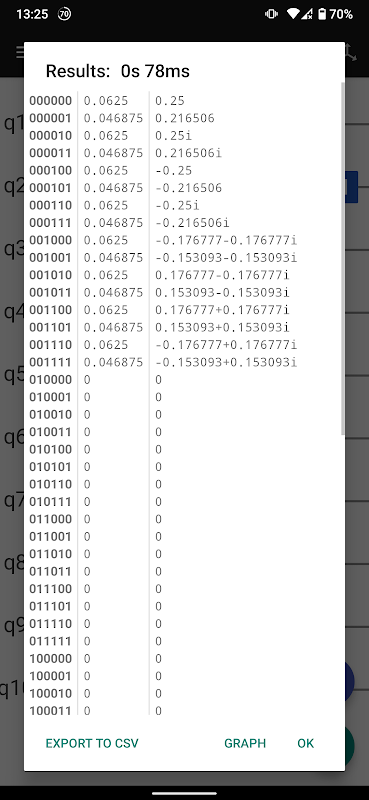
• 立即獲得結果
• 導出結果
• 導入/導出門序列,導出為OpenQASM
• 採用任意門的厄米共軛
• 顯示bloch球體(用於非糾纏的量子比特)
• 顯示系統的狀態向量
• 自動和選擇加入電路的優化
預定義的單量子位門
• 哈達瑪
• 保利X / Y / Z
•  S門和T門(相移)
• √不
• 身份
•  U3
預定義的多量子位門
•  CNOT / CY / CZ(保利保利)
• 受控S,受控T和受控Hadamard門
• 受控U3
• 交換
• 托菲利
• 弗雷德金
• 量子傅立葉變換
計劃的功能
使用循環和條件創建和運行算法
顯示較小電路的最終unit矩陣
更好地可視化多量子位狀態
GitHub存儲庫歡迎翻譯人員:
https://github.com/hexadec/Quantum/blob/master/app/src/main/res/values/strings.xml
最新版本0.19.3–210731的更新日誌
- Fixed an extremely rare bug that caused the app to crash
0.19.1 & 0.19.2:
- Fixed a bug that crashed the app when the screen was rotated
- UX improvements
- Save the statevector so that the second run will be a lot faster
- Gate editor fixes







