دربارهی Quantum Computing
مدارهای کوانتومی ساده را در حال حرکت ایجاد و اجرا کنید
نرم افزاری برای اندروید که عملکردهای رایانه کوانتومی را شبیه سازی می کند
در اصل یک شبیه ساز رایانه ای کوانتومی با قابلیت های محدود است
هدف اصلی این است که آزمایش را برای همه ، حتی در حال حرکت ، امکان پذیر کنید. از آنجا که این برنامه فقط یک شبیه ساز است ، می تواند موقعیت کیوبیت ها را روی کره بلوک نشان دهد. این برنامه همچنین می تواند بردار حالت سیستم را نشان دهد (در حالت احتمال) و دروازه واحد نهایی نیز به زودی قابل دسترسی خواهد بود. محدودیت فقط قدرت محاسبه دستگاه شماست!
به آزمایش کمک کنید و برای عملکرد جدید به برنامه بتا بپیوندید!
می توانید هر ماتریسی را روی کیوبیت های خود اعمال کنید به شرطی که عضو گروه SU (n) باشند & # 8211؛ آنها باید واحد باشند و باید یک عامل تعیین کننده واحد داشته باشند.
درباره باطن
این برنامه برای شبیه سازی مدارهای کوانتومی از یک باطن ساخت داخل استفاده می کند. هنوز با سر و صدا کار نمی کند. باطن به زبان جاوا نوشته شده و کل کد منبع را می توان در GitHub در hexadec / Quantum یافت.
لطفا توجه داشته باشید که ترتیب qubit در این برنامه Big-Endian است ، به این معنی که در یک دروازه چند کیوبیتی همیشه اولین پارامتر آخرین بیت در بردار دولت است ، در حالی که برخی از سیستم های شناخته شده دیگر Little-Endian بنابراین بیشتر ماتریس های گیت چند کیوبیتی نیاز به تبدیل دارند!
ویژگی های اصلی
& # 8226؛ & # 8195؛ حداکثر 10 کیوبیت
& # 8226؛ & # 8195؛ گیت با حداکثر 4 کیوبیت
& # 8226؛ & # 8195؛ تعداد عکسهای بسیار زیاد (حداکثر 2 ^ 20)
& # 8226؛ & # 8195؛ تعداد زیادی دروازه از پیش تعریف شده
& # 8226؛ & # 8195؛ بلافاصله نتیجه بگیرید
& # 8226؛ & # 8195؛ نتایج صادرات
& # 8226؛ & # 8195؛ توالی دروازه واردات / صادرات ، صادرات به صورت OpenQASM
& # 8226؛ & # 8195؛ مخلوط هرمتی هر دروازه را بگیرید
& # 8226؛ & # 8195؛ نمایش کره بلوک (برای کیوبیت های غیر درهم پیچیده)
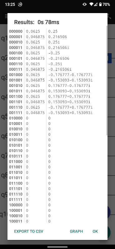
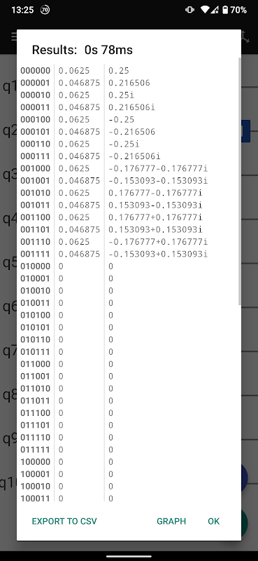
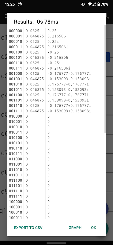
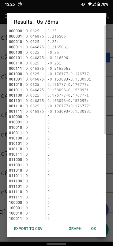
& # 8226؛ & # 8195؛ بردار حالت سیستم را نشان دهید
& # 8226؛ & # 8195؛ بهینه سازی مدار خودکار و انتخاب
دروازه های یک کیوبیتی از پیش تعریف شده
& # 8226؛ & # 8195؛ هادامرد
& # 8226؛ & # 8195؛ Pauli-X / Y / Z
& # 8226؛ & # 8195؛ S-gate & T-gate (تغییر فاز)
& # 8226؛ & # 8195؛ OTنه
& # 8226؛ & # 8195؛ هویت
& # 8226؛ & # 8195؛ U3
دروازه های چند کیوبیتی از پیش تعریف شده
& # 8226؛ & # 8195؛ CNOT / CY / CZ (کنترل-پائولی)
& # 8226؛ & # 8195؛ دروازه های کنترل شده S ، کنترل شده تی و کنترل شده هادامارد
& # 8226؛ & # 8195؛ U3 کنترل شده
& # 8226؛ & # 8195؛
& # 8226؛ & # 8195؛ توفلی
& # 8226؛ & # 8195؛ فردکین
& # 8226؛ & # 8195؛ تغییر شکل فوریه کوانتوم
ویژگی های برنامه ریزی شده
الگوریتم هایی با حلقه ها و شرایط ایجاد و اجرا کنید
نمایش ماتریس واحد نهایی برای مدارهای کوچکتر
حالت های چند کیوبیتی را بهتر تجسم کنید
مترجمان در مخزن GitHub مورد استقبال قرار می گیرند:
https://github.com/hexadec/Quantum/blob/master/app/src/main/res/values/strings.xml
جدیدترین 0.19.3–210731 چه خبر است
- Fixed an extremely rare bug that caused the app to crash
0.19.1 & 0.19.2:
- Fixed a bug that crashed the app when the screen was rotated
- UX improvements
- Save the statevector so that the second run will be a lot faster
- Gate editor fixes
اطلاعات Quantum Computing APK
نسخههای قدیمی Quantum Computing
Quantum Computing 0.19.3–210731
Quantum Computing 0.18.7–201228
Quantum Computing 0.17.8–200702
Quantum Computing 0.17.7–200625
دانلود فوق سریع و ایمن از طریق برنامه APKPure
برای نصب فایل های XAPK/APK در اندروید با یک کلیک!







