Informazioni su Quantum Computing
Crea ed esegui semplici circuiti quantici in movimento
Un software per Android che emula le azioni di un computer quantistico
essenzialmente un simulatore di computer quantistico con funzionalità limitate
Il suo scopo principale è consentire il test a tutti, anche in movimento. Poiché questa app è solo un emulatore, può mostrare la posizione dei qubit sulla sfera del bloch. Questa app può anche mostrare il vettore di stato del sistema (in modalità probabilità) e anche il cancello unitario finale sarà presto accessibile. Il limite è solo la potenza di calcolo del tuo dispositivo!
Aiutaci a testare e unisciti al programma beta per nuove funzionalità!
Puoi applicare qualsiasi matrice ai tuoi qubit purché siano membri del gruppo SU (n) & # 8211; devono essere unitari e avere una determinante unitaria.
Informazioni sul backend
L'applicazione utilizza un backend fatto in casa per la simulazione di circuiti quantistici. Non funziona ancora con il rumore. Il backend è scritto in Java e l'intero codice sorgente può essere trovato su GitHub in hexadec / Quantum
Tieni presente che l'ordine dei qubit in questa applicazione è Big-Endian , il che significa che in un gate multi-qubit il primo parametro è sempre l'ultimo bit nel vettore di stato, mentre alcuni altri sistemi ben noti sono Little-Endian , quindi la maggior parte delle matrici gate multi-qubit necessita di conversione!
Caratteristiche principali
& # 8226; & # 8195; Massimo 10 qubit
& # 8226; & # 8195; Gate con un massimo di 4 qubit
& # 8226; & # 8195; Numero di colpi estremamente elevato (fino a 2 ^ 20)
& # 8226; & # 8195; Molte porte predefinite
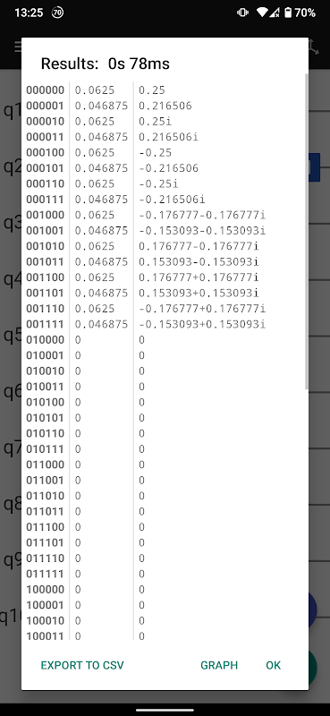
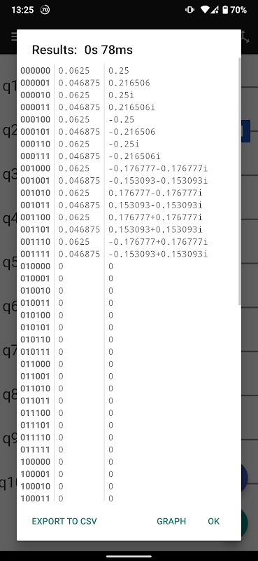
& # 8226; & # 8195; Ottieni risultati immediatamente
& # 8226; & # 8195; Esporta risultati
& # 8226; & # 8195; Importa / Esporta sequenza gate, esporta come OpenQASM
& # 8226; & # 8195; Prendi il coniugato ermitano di qualsiasi porta
& # 8226; & # 8195; Mostra sfera bloch (per qubit non entangled)
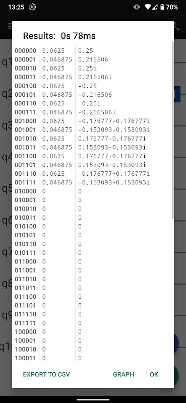
& # 8226; & # 8195; Mostra il vettore di stato del sistema
& # 8226; & # 8195; Ottimizzazione del circuito automatico e opt-in
Gate predefiniti a qubit singolo
& # 8226; & # 8195; Hadamard
& # 8226; & # 8195; Pauli-X / Y / Z
& # 8226; & # 8195; S-gate e T-gate (sfasamento)
& # 8226; & # 8195; √NOT
& # 8226; & # 8195; Identità
& # 8226; & # 8195; U3
Porte multi qubit predefinite
& # 8226; & # 8195; CNOT / CY / CZ (Controlled-Pauli)
Cancelli & # 8226; & # 8195; Controlled-S, Controlled-T e Controlled-Hadamard
& # 8226; & # 8195; U3 controllato
& # 8226; & # 8195; SWAP
& # 8226; & # 8195; Toffoli
& # 8226; & # 8195; Fredkin
& # 8226; & # 8195; Trasformata quantistica di Fourier
Funzionalità pianificate
Crea ed esegui algoritmi con cicli e condizioni
Visualizza la matrice unitaria finale per circuiti più piccoli
Visualizza meglio gli stati multi-qubit
I traduttori sono i benvenuti nel repository GitHub:
https://github.com/hexadec/Quantum/blob/master/app/src/main/res/values/strings.xml
What's new in the latest 0.19.3–210731
- Fixed an extremely rare bug that caused the app to crash
0.19.1 & 0.19.2:
- Fixed a bug that crashed the app when the screen was rotated
- UX improvements
- Save the statevector so that the second run will be a lot faster
- Gate editor fixes
Informazioni sull'APK Quantum Computing
Vecchie versioni di Quantum Computing
Quantum Computing 0.19.3–210731
Quantum Computing 0.18.7–201228
Quantum Computing 0.17.8–200702
Quantum Computing 0.17.7–200625
Download super veloce e sicuro tramite l'app APKPure
Basta un clic per installare i file XAPK/APK su Android!







