Oписание Quantum Computing
Создавайте и выполняйте простые квантовые схемы на ходу
Программное обеспечение для Android, имитирующее действия квантового компьютера.
по сути симулятор квантового компьютера с ограниченной функциональностью
Его основная цель - предоставить возможность тестирования всем, даже в дороге. Поскольку это приложение является только эмулятором, оно может показывать положение кубитов на сфере Блоха. Это приложение также может отображать вектор состояний системы (в вероятностном режиме), и вскоре будет доступен последний унитарный вентиль. Предел - только вычислительная мощность вашего устройства!
Помогите протестировать и присоединитесь к программе бета-тестирования новых функций!
Вы можете применять любые матрицы к своим кубитам, если они входят в группу SU (n) & # 8211; они должны быть унитарными и иметь определитель единицы.
О серверной части
Приложение использует самодельный бэкэнд для моделирования квантовых схем. Он пока не работает с шумом. Бэкэнд написан на Java, и весь исходный код можно найти на GitHub по адресу hexadec / Quantum
Имейте в виду, что порядок кубитов в этом приложении - Big-Endian , что означает, что в многокубитном вентиле всегда первым параметром является последний бит в векторе состояний, тогда как в некоторых других хорошо известных системах Little-Endian , поэтому большинство многокубитовых матриц вентилей нуждаются в преобразовании!
Основные характеристики
& # 8226; & # 8195; Не более 10 кубитов
& # 8226; & # 8195; Гейты с не более чем 4 кубитами
& # 8226; & # 8195; Чрезвычайно большое количество снимков (до 2 ^ 20)
& # 8226; & # 8195; Множество предопределенных ворот
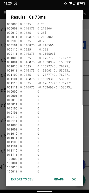
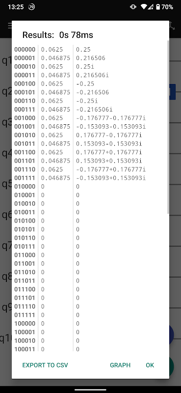
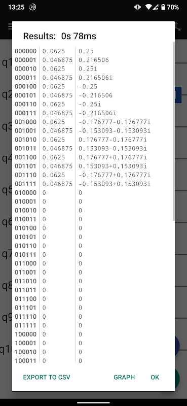
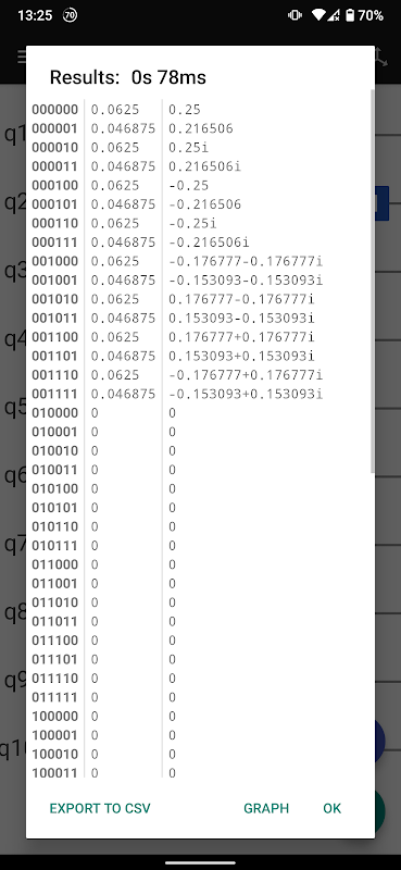
& # 8226; & # 8195; Получите результаты немедленно
& # 8226; & # 8195; Экспорт результатов
& # 8226; & # 8195; Импорт / экспорт последовательности ворот, экспорт как OpenQASM
& # 8226; & # 8195; Возьмите эрмитово конъюгат любых ворот
& # 8226; & # 8195; Показать сферу Блоха (для незапутанных кубитов)
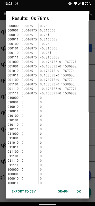
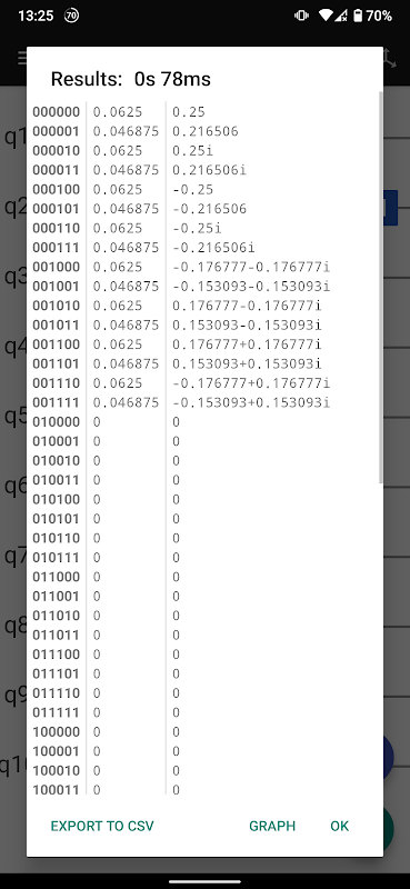
& # 8226; & # 8195; Показать вектор состояний системы
& # 8226; & # 8195; Автоматическая оптимизация цепи и подписка на нее
Предопределенные вентили для одного кубита
& # 8226; & # 8195; Адамар
& # 8226; & # 8195; Паули-X / Y / Z
& # 8226; & # 8195; S-вентиль & T-вентиль (фазовый сдвиг)
& # 8226; & # 8195; √ НЕ
& # 8226; & # 8195; Личность
& # 8226; & # 8195; U3
Предопределенные многокубитовые вентили
& # 8226; & # 8195; CNOT / CY / CZ (Контролируемый Паули)
& # 8226; & # 8195; Вентили Controlled-S, Controlled-T и Controlled-Адамара
& # 8226; & # 8195; Контролируемый U3
& # 8226; & # 8195; SWAP
& # 8226; & # 8195; Тоффоли
& # 8226; & # 8195; Фредкин
& # 8226; & # 8195; Квантовое преобразование Фурье
Планируемые функции
Создавать и запускать алгоритмы с циклами и условиями
Отображение итоговой унитарной матрицы для меньших схем
Лучше визуализируйте многокубитовые состояния
Приглашаем переводчиков в репозиторий GitHub:
https://github.com/hexadec/Quantum/blob/master/app/src/main/res/values/strings.xml
Что нового в последней версии 0.19.3–210731
- Fixed an extremely rare bug that caused the app to crash
0.19.1 & 0.19.2:
- Fixed a bug that crashed the app when the screen was rotated
- UX improvements
- Save the statevector so that the second run will be a lot faster
- Gate editor fixes
Информация Quantum Computing APK
Старые Версии Quantum Computing
Quantum Computing 0.19.3–210731
Quantum Computing 0.18.7–201228
Quantum Computing 0.17.8–200702
Quantum Computing 0.17.7–200625
Супер Быстрая и Безопасная Загрузка через Приложение APKPure
Один клик для установки XAPK/APK файлов на Android!







