เกี่ยวกับ Quantum Computing
สร้างและดำเนินการวงจรควอนตัมง่าย ๆ ในระหว่างการเดินทาง
ซอฟต์แวร์สำหรับ Android ที่เลียนแบบการทำงานของคอมพิวเตอร์ควอนตัม
โดยพื้นฐานแล้วเครื่องจำลองคอมพิวเตอร์ควอนตัมที่มีฟังก์ชันการทำงานที่ จำกัด
จุดประสงค์หลักคือเพื่อให้ทุกคนสามารถทดสอบได้แม้ในระหว่างเดินทาง เนื่องจากแอปนี้เป็นเพียงโปรแกรมจำลองเท่านั้นจึงสามารถแสดงตำแหน่งของ qubits บน bloch sphere ได้ แอพนี้ยังสามารถแสดง statevector ของระบบ (ในโหมดความน่าจะเป็น) และประตูรวมสุดท้ายจะสามารถเข้าถึงได้ในไม่ช้า ขีด จำกัด เป็นเพียงพลังการคำนวณของอุปกรณ์ของคุณเท่านั้น!
ช่วยทดสอบและเข้าร่วมโปรแกรมเบต้าสำหรับฟังก์ชันใหม่!
คุณสามารถใช้เมทริกซ์ใดก็ได้กับ qubits ของคุณตราบเท่าที่พวกเขาเป็นสมาชิกของกลุ่ม SU (n) & # 8211; พวกเขาต้องรวมกันและต้องมีตัวกำหนดหน่วย
เกี่ยวกับแบ็กเอนด์
แอปพลิเคชันใช้แบ็กเอนด์ที่ทำเองที่บ้านเพื่อจำลองวงจรควอนตัม มันไม่ ยัง ทำงานกับเสียงรบกวน แบ็กเอนด์เขียนด้วย Java และซอร์สโค้ดทั้งหมดสามารถพบได้ใน GitHub ที่ เฮกซาเดค / ควอนตัม
โปรดทราบว่าคำสั่ง qubit ในแอปพลิเคชันนี้คือ Big-Endian ซึ่งหมายความว่าใน multi-qubit gate พารามิเตอร์แรกคือบิตสุดท้ายใน statevector ในขณะที่ระบบอื่น ๆ ที่รู้จักกันดี ได้แก่ Little-Endian ดังนั้นเมทริกซ์เกตหลาย qubit ส่วนใหญ่จึงต้องการการแปลง!
คุณสมบัติหลัก
& # 8226; & # 8195; มากที่สุด 10 qubits
& # 8226; & # 8195; ประตูที่มีไม่เกิน 4 qubits
& # 8226; & # 8195; จำนวนภาพสูงมาก (สูงสุด 2 ^ 20)
& # 8226; & # 8195; ประตูที่กำหนดไว้ล่วงหน้ามากมาย
& # 8226; & # 8195; รับผลทันที
& # 8226; & # 8195; ส่งออกผลลัพธ์
& # 8226; & # 8195; ลำดับประตูนำเข้า / ส่งออกส่งออกเป็น OpenQASM
& # 8226; & # 8195; ใช้คอนจูเกตฤๅษีของประตูใดก็ได้
& # 8226; & # 8195; แสดง bloch sphere (สำหรับ qubits ที่ไม่พันกัน)
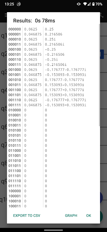
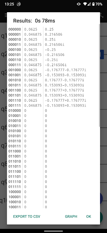
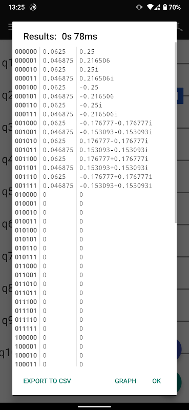
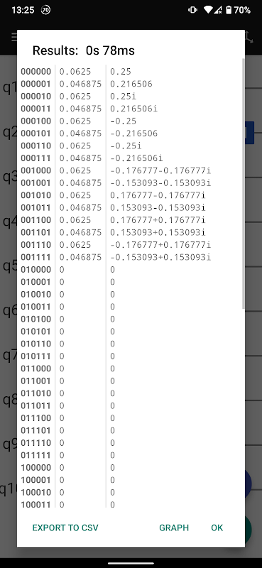
& # 8226; & # 8195; แสดง statevector ของระบบ
& # 8226; & # 8195; การเพิ่มประสิทธิภาพวงจรอัตโนมัติและเลือกใช้
ประตู qubit เดี่ยวที่กำหนดไว้ล่วงหน้า
& # 8226; & # 8195; ฮาดามาร์ด
& # 8226; & # 8195; Pauli-X / Y / Z
& # 8226; & # 8195; S-gate & T-gate (เฟสกะ)
& # 8226; & # 8195; √NOT
& # 8226; & # 8195; เอกลักษณ์
& # 8226; & # 8195; U3
ประตูหลาย qubit ที่กำหนดไว้ล่วงหน้า
& # 8226; & # 8195; CNOT / CY / CZ (ควบคุม - Pauli)
& # 8226; & # 8195; Controlled-S, Controlled-T และ Controlled-Hadamard gates
& # 8226; & # 8195; ควบคุม U3
& # 8226; & # 8195; SWAP
& # 8226; & # 8195; ทอฟโฟลี
& # 8226; & # 8195; เฟรดกิน
& # 8226; & # 8195; การแปลงควอนตัมฟูเรียร์
คุณสมบัติตามแผน
สร้างและเรียกใช้อัลกอริทึมด้วยลูปและเงื่อนไข
แสดงเมทริกซ์รวมสุดท้ายสำหรับวงจรขนาดเล็ก
เห็นภาพสถานะหลาย qubit ได้ดีขึ้น
ยินดีต้อนรับนักแปลที่ที่เก็บ GitHub:
https://github.com/hexadec/Quantum/blob/master/app/src/main/res/values/strings.xml
What's new in the latest 0.19.3–210731
- Fixed an extremely rare bug that caused the app to crash
0.19.1 & 0.19.2:
- Fixed a bug that crashed the app when the screen was rotated
- UX improvements
- Save the statevector so that the second run will be a lot faster
- Gate editor fixes
ข้อมูล Quantum Computing APK
Quantum Computing รุ่นเก่า
Quantum Computing 0.19.3–210731
Quantum Computing 0.18.7–201228
Quantum Computing 0.17.8–200702
Quantum Computing 0.17.7–200625
การดาวน์โหลดที่รวดเร็วและปลอดภัยเป็นพิเศษผ่านแอป APKPure
คลิกเพียงครั้งเดียวเพื่อติดตั้งไฟล์ XAPK/APK บน Android!







