About Quantum Computing
Create and execute simple quantum circuits on the go
A software for Android that emulates the actions of a quantum computer
essentially a quantum computer simulator with limited functionality
It's main purpose is to enable testing to everyone, even on the go. Since this app is only an emulator, it can show the position of the qubits on the bloch sphere. This app can also show the statevector of the system (in probability mode) and the final unitary gate will also be accessible soon. The limit is only the computing power of your device!
Help testing and join the beta program for new functionality!
You can apply any matrices to your qubits as long as they are member of the group SU(n) – they have to be unitary and have to have a unit determinant.
About the backend
The application uses a home-made backend for simulating quantum circuits. It does not yet work with noise. The backend is written in Java and the entire source code can be found on GitHub at hexadec/Quantum
Please be aware that the qubit order in this application is Big-Endian, meaning that in a multi-qubit gate always the first parameter is the last bit in the statevector, whereas some other well-known system are Little-Endian, thus most multi-qubit gate matrices need conversion!
Main features
• At most 10 qubits
• Gates with at most 4 qubits
• Extremely high number of shots (up to 2^20)
• Lots of predefined gates
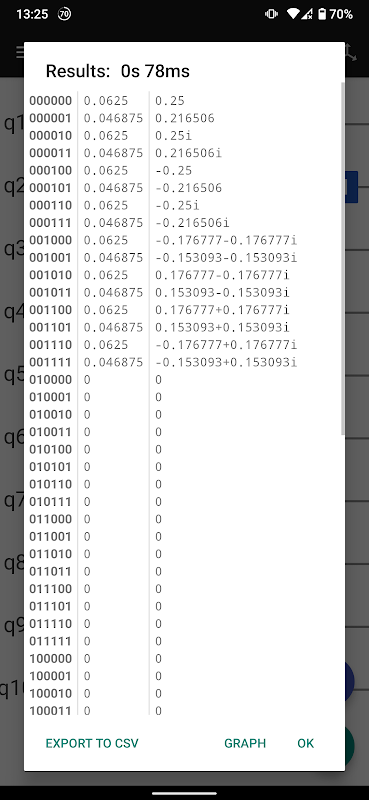
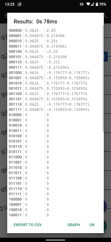
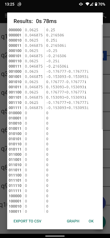
• Get results immediately
• Export results
• Import/Export gate sequence, export as OpenQASM
• Take the hermitian conjugate of any gate
• Show bloch sphere (for non-entangled qubits)
• Show the statevector of the system
• Auto and Opt-in circuit optimization
Predefined single qubit gates
• Hadamard
• Pauli-X/Y/Z
• S-gate & T-gate (phase-shift)
• √NOT
• Identity
• U3
Predefined multi qubit gates
• CNOT/CY/CZ (Controlled-Pauli)
• Controlled-S, Controlled-T and Controlled-Hadamard gates
• Controlled U3
• SWAP
• Toffoli
• Fredkin
• Quantum Fourier Transform
Planned features
Create and run algorithms with loops and conditions
Display final unitary matrix for smaller circuits
Visualize multi-qubit states better
Translators are welcomed at the GitHub repository:
https://github.com/hexadec/Quantum/blob/master/app/src/main/res/values/strings.xml
What's new in the latest 0.19.3–210731
- Fixed an extremely rare bug that caused the app to crash
0.19.1 & 0.19.2:
- Fixed a bug that crashed the app when the screen was rotated
- UX improvements
- Save the statevector so that the second run will be a lot faster
- Gate editor fixes
Quantum Computing APK Information
Old Versions of Quantum Computing
Quantum Computing 0.19.3–210731
Quantum Computing 0.18.7–201228
Quantum Computing 0.17.8–200702
Quantum Computing 0.17.7–200625
Super Fast and Safe Downloading via APKPure App
One-click to install XAPK/APK files on Android!







