À propos de Quantum Computing
Créer et exécuter des circuits quantiques simples lors de vos déplacements
Un logiciel pour Android qui émule les actions d'un ordinateur quantique
essentiellement un simulateur informatique quantique aux fonctionnalités limitées
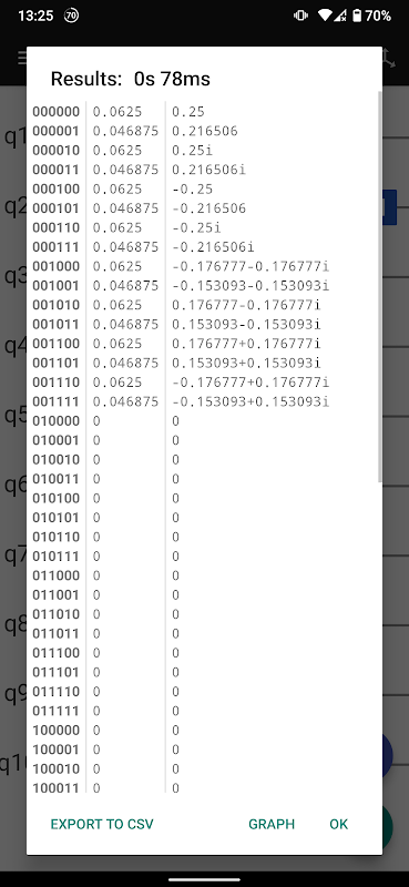
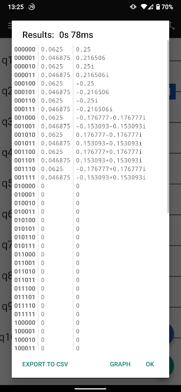
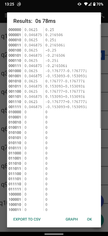
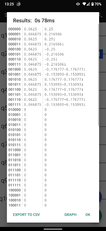
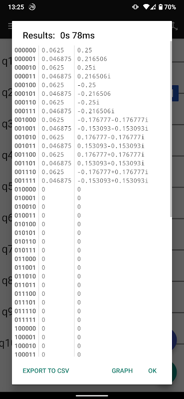
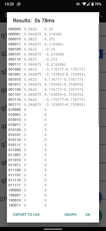
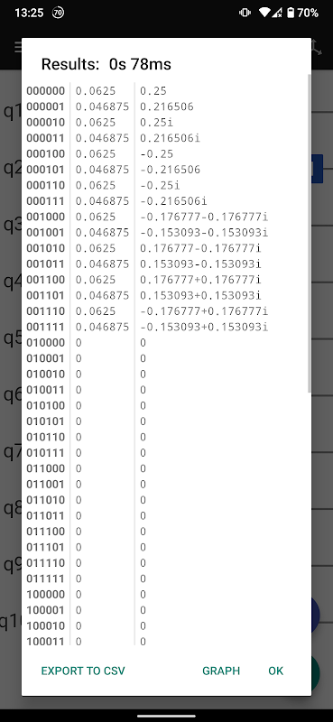
Son objectif principal est de permettre à tout le monde de tester, même en déplacement. Étant donné que cette application n'est qu'un émulateur, elle peut afficher la position des qubits sur la sphère bloch. Cette application peut également afficher le statevector du système (en mode probabilité) et la porte unitaire finale sera également accessible prochainement. La limite n'est que la puissance de calcul de votre appareil!
Aidez à tester et rejoignez le programme bêta pour de nouvelles fonctionnalités!
Vous pouvez appliquer toutes les matrices à vos qubits tant qu'ils sont membres du groupe SU (n) & # 8211; ils doivent être unitaires et avoir un déterminant unitaire.
À propos du backend
L'application utilise un backend fait maison pour simuler des circuits quantiques. Il ne fonctionne pas encore avec le bruit. Le backend est écrit en Java et le code source complet peut être trouvé sur GitHub à hexadec / Quantum
Veuillez noter que l'ordre des qubits dans cette application est Big-Endian , ce qui signifie que dans une porte multi-qubit, le premier paramètre est toujours le dernier bit du statevector, alors que d'autres systèmes bien connus sont Little-Endian , donc la plupart des matrices de portes multi-qubit nécessitent une conversion!
Principales fonctionnalités
& # 8226; & # 8195; Au plus 10 qubits
& # 8226; & # 8195; Portes avec au plus 4 qubits
& # 8226; & # 8195; Nombre de prises de vue extrêmement élevé (jusqu'à 2 ^ 20)
& # 8226; & # 8195; De nombreuses portes prédéfinies
& # 8226; & # 8195; Obtenez des résultats immédiatement
& # 8226; & # 8195; Exporter les résultats
& # 8226; & # 8195; Séquence de porte d'importation / exportation, exportation sous OpenQASM
& # 8226; & # 8195; Prenez le conjugué hermitien de n'importe quelle porte
& # 8226; & # 8195; Afficher la sphère bloch (pour les qubits non intriqués)
& # 8226; & # 8195; Afficher le vecteur d'état du système
& # 8226; & # 8195; Optimisation automatique et optionnelle des circuits
Portes à qubit unique prédéfinies
& # 8226; & # 8195; Hadamard
& # 8226; & # 8195; Pauli-X / Y / Z
& # 8226; & # 8195; S-gate et T-gate (déphasage)
& # 8226; & # 8195; √NON
& # 8226; & # 8195; Identité
& # 8226; & # 8195; U3
Portes multi qubit prédéfinies
& # 8226; & # 8195; CNOT / CY / CZ (Contrôlé-Pauli)
& # 8226; & # 8195; Portes contrôlées en S, contrôlées en T et contrôlées en Hadamard
& # 8226; & # 8195; U3 contrôlé
& # 8226; & # 8195; SWAP
& # 8226; & # 8195; Toffoli
& # 8226; & # 8195; Fredkin
& # 8226; & # 8195; Transformée quantique de Fourier
Fonctionnalités prévues
Créez et exécutez des algorithmes avec des boucles et des conditions
Afficher la matrice unitaire finale pour les circuits plus petits
Visualisez mieux les états multi-qubits
Les traducteurs sont les bienvenus dans le référentiel GitHub:
https://github.com/hexadec/Quantum/blob/master/app/src/main/res/values/strings.xml
What's new in the latest 0.19.3–210731
- Fixed an extremely rare bug that caused the app to crash
0.19.1 & 0.19.2:
- Fixed a bug that crashed the app when the screen was rotated
- UX improvements
- Save the statevector so that the second run will be a lot faster
- Gate editor fixes
Informations Quantum Computing APK
Vieilles versions de Quantum Computing
Quantum Computing 0.19.3–210731
Quantum Computing 0.18.7–201228
Quantum Computing 0.17.8–200702
Quantum Computing 0.17.7–200625
Téléchargement super rapide et sûr via l'application APKPure
Un clic pour installer les fichiers XAPK/APK sur Android!







