About Quantum Computing
چلتے پھرتے سادہ کوانٹم سرکٹس بنائیں اور ان پر عمل کریں
اینڈروئیڈ کے لئے ایک ایسا سافٹ ویئر جو کوانٹم کمپیوٹر کے اعمال کی نقالی کرتا ہے
بنیادی طور پر ایک محدود فعالیت کے ساتھ ایک کوانٹم کمپیوٹر سمیلیٹر
اس کا بنیادی مقصد یہ ہے کہ چلتے پھرتے بھی ہر ایک کو جانچ کا اہل بنائیں۔ چونکہ یہ ایپ صرف ایک ایمولیٹر ہے ، لہذا یہ بلچ کرہ پر کوئبٹس کی پوزیشن ظاہر کرسکتا ہے۔ یہ ایپ سسٹم کے اسٹیٹ ویکٹر کو بھی دکھا سکتی ہے (امکانی حالت میں) اور حتمی یونٹری گیٹ بھی جلد ہی قابل رسائی ہوجائے گا۔ حد صرف آپ کے آلے کی کمپیوٹنگ طاقت ہے!
نئی فعالیت کیلئے بیٹا پروگرام میں جانچ اور شامل ہونے میں مدد کریں!
آپ کسی بھی میٹرکس کو اس وقت تک درخواست دے سکتے ہیں جب تک کہ وہ گروپ ایس یو (این) کے ممبر نہ ہوں & # 8211؛ وہ اکٹھا ہونا پڑے گا اور یونٹ کا فیصلہ کن ہونا پڑے گا۔
پسدید کے بارے میں
ایپلیکیشن میں کوانٹم سرکٹس کی تقلید کے لئے گھریلو ساختہ پسدید کا استعمال کیا گیا ہے۔ یہ ابھی تک شور کے ساتھ کام نہیں کرتا ہے۔ پسدید جاوا میں لکھا ہوا ہے اور پورا ماخذ کوڈ ہیکساڈیک / کوانٹم پر گٹ ہب پر پایا جاسکتا ہے۔
براہ کرم آگاہ رہیں کہ اس ایپلی کیشن میں کوبیٹ آرڈر بگ اینڈین ہے ، مطلب یہ ہے کہ ملٹی کوبٹ گیٹ میں ہمیشہ اسٹیٹ ویکٹر میں پہلا پیرامیٹر آخری ہوتا ہے ، جبکہ کچھ اور مشہور نظام ہیں لٹل-اینڈیان ، اس طرح زیادہ تر ملٹی کوبٹ گیٹ میٹرکس کو تبادلوں کی ضرورت ہے!
اہم خصوصیات
& # 8226؛ & # 8195؛ زیادہ سے زیادہ 10 کوئبٹس
& # 8226؛ & # 8195 at زیادہ سے زیادہ 4 قطبوں والے گیٹس
& # 8226؛ & # 8195؛ شاٹس کی انتہائی زیادہ تعداد (2 ^ 20 تک)
& # 8226؛ & # 8195؛ بہت سے وضاحتی دروازے
& # 8226؛ & # 8195؛ فوری طور پر نتائج حاصل کریں
& # 8226؛ & # 8195؛ برآمد نتائج
& # 8226؛ & # 8195؛ درآمد / برآمد گیٹ تسلسل ، اوپن کی اے ایس ایم کے بطور برآمد کریں
& # 8226؛ & # 8195؛ کسی بھی گیٹ کے ہرمیٹین کنجوجٹ لیں
& # 8226؛ & # 8195؛ بلچ کرہ دکھائیں (غیر الجھا ہوا قطب کے ل))
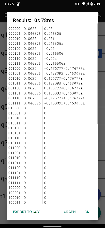
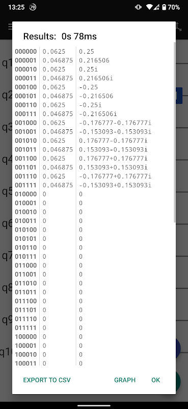
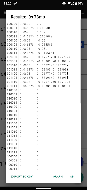
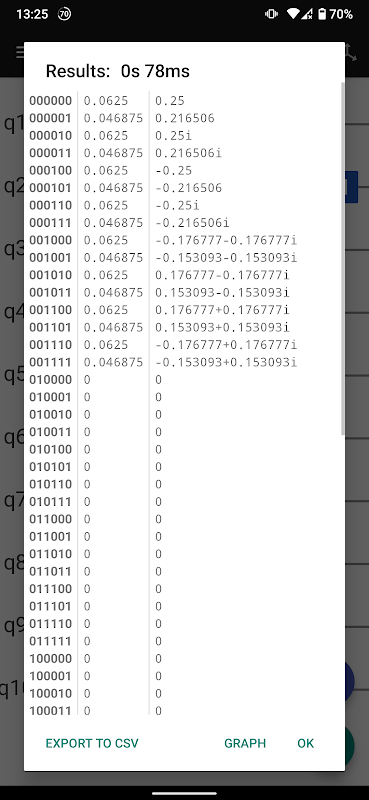
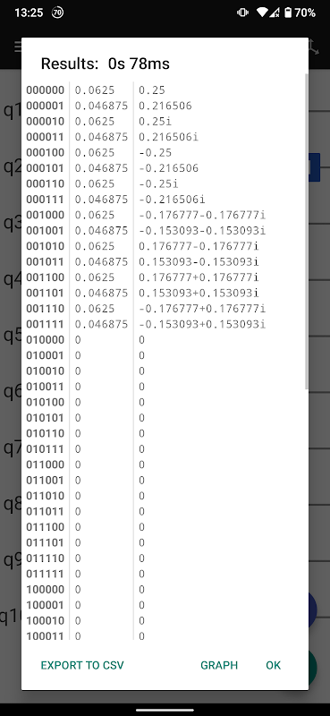
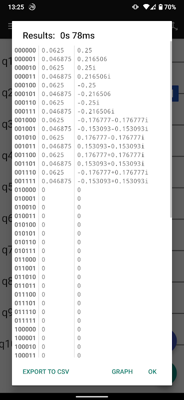
& # 8226؛ & # 8195؛ سسٹم کا سٹیٹ ویکٹر دکھائیں
& # 8226؛ & # 8195؛ آٹو اور آپٹ ان سرکٹ آپٹیمائزیشن
پہلے سے طے شدہ سنگل کوئٹ گیٹ
& # 8226؛ & # 8195؛ ہادامارد
& # 8226؛ & # 8195؛ پاؤلی-ایکس / وائی / زیڈ
& # 8226؛ & # 8195؛ ایس گیٹ اور ٹی گیٹ (فیز شفٹ)
& # 8226؛ & # 8195؛ OT نہیں
& # 8226؛ & # 8195؛ شناخت
& # 8226؛ & # 8195؛ U3
پہلے سے طے شدہ ملٹی کوئٹ گیٹ
& # 8226؛ & # 8195؛ CNOT / CY / CZ (کنٹرولڈ پاؤلی)
& # 8226؛ & # 8195؛ کنٹرولڈ ایس ، کنٹرولڈ-ٹی اور کنٹرولڈ - ہادامارڈ گیٹ
& # 8226؛ & # 8195؛ کنٹرول U3
& # 8226؛ & # 8195؛ سویپ
& # 8226؛ & # 8195؛ ٹوفولی
& # 8226؛ & # 8195؛ فریڈکن
& # 8226؛ & # 8195؛ کوانٹم فوریئر ٹرانسفارم
منصوبہ بند خصوصیات
loops اور حالات کے ساتھ الگورتھم بنائیں اور چلائیں
چھوٹے سرکٹس کیلئے حتمی یونٹری میٹرکس ڈسپلے کریں
ملٹی کوبٹ ریاستوں کا تصور بہتر بنائیں
مترجمین کا GitHub ذخیرے میں استقبال ہے:
https://github.com/hexadec/Quantum/blob/master/app/src/main/res/values/strings.xml
What's new in the latest 0.19.3–210731
- Fixed an extremely rare bug that caused the app to crash
0.19.1 & 0.19.2:
- Fixed a bug that crashed the app when the screen was rotated
- UX improvements
- Save the statevector so that the second run will be a lot faster
- Gate editor fixes
Quantum Computing APK معلومات
کے پرانے ورژن Quantum Computing
Quantum Computing 0.19.3–210731
Quantum Computing 0.18.7–201228
Quantum Computing 0.17.8–200702
Quantum Computing 0.17.7–200625
APKPure ایپکےذریعےانتہائی تیزاورمحفوظڈاؤنلوڈنگ
Android پر XAPK/APK فائلیںانسٹالکرنےکےلیےایککلککریں!







