Mathematics O Level Notes
6.1 MB
ফাইলের আকার
Everyone
Android 5.0+
Android OS
Mathematics O Level Notes সম্পর্কে
সাধারণ স্তরের পণ্ডিতদের জন্য ও লেভেলের গণিত নোট অ্যাপ।
বিষয় অন্তর্ভুক্ত:
সমতলে রূপান্তর:
প্লেনে রূপান্তর বিভিন্ন জ্যামিতিক রূপান্তর যেমন অনুবাদ, প্রতিফলন, ঘূর্ণন এবং প্রসারণের অধ্যয়ন জড়িত।
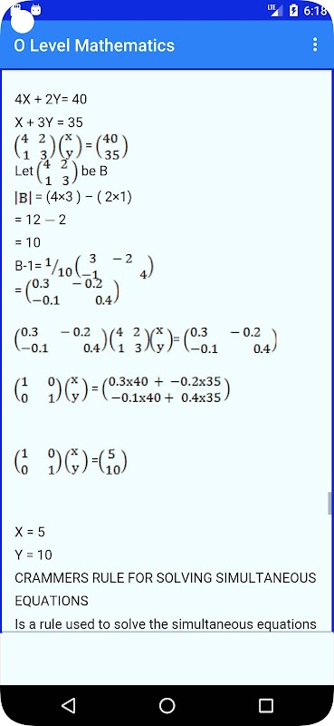
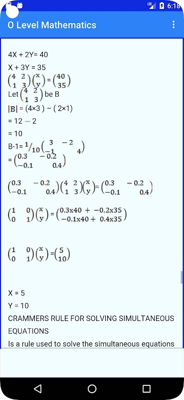
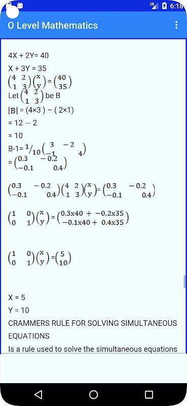
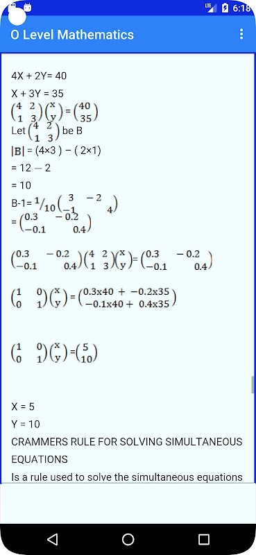
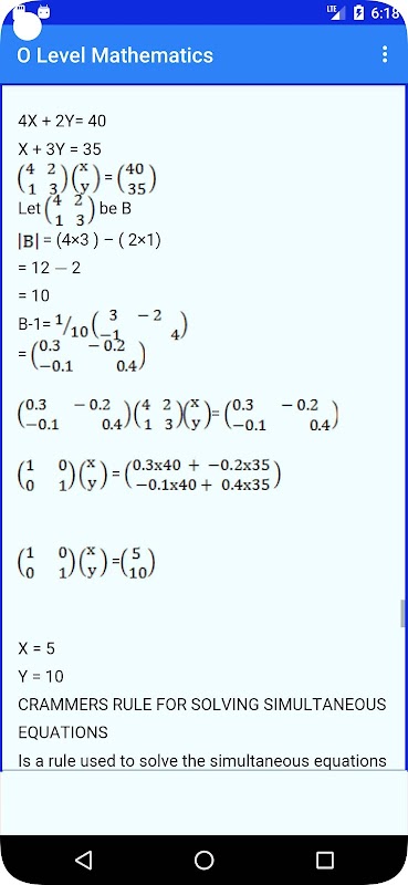
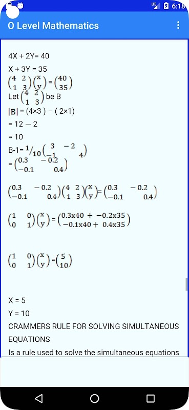
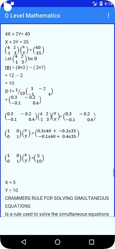
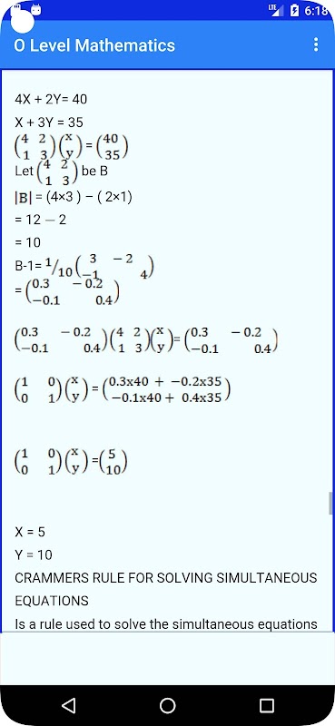
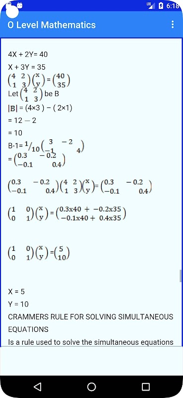
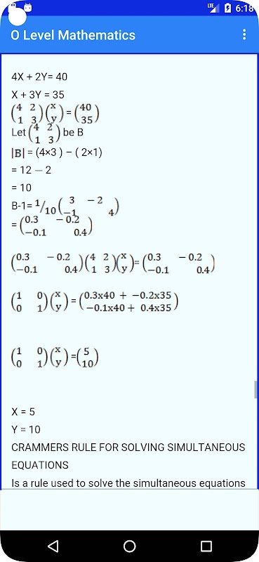
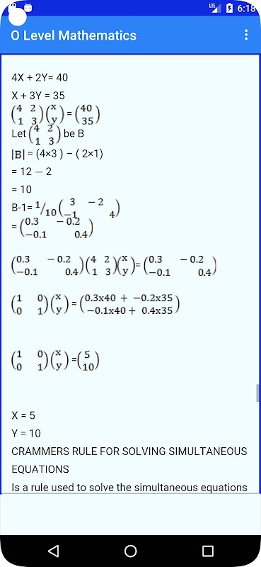
ম্যাট্রিক্স:
ম্যাট্রিক্স হল সংখ্যার আয়তক্ষেত্রাকার অ্যারে যা রৈখিক সমীকরণের সিস্টেমগুলিকে উপস্থাপন এবং সমাধান করতে এবং বিভিন্ন গাণিতিক ক্রিয়াকলাপ সম্পাদন করতে ব্যবহৃত হয়।
রৈখিক প্রোগ্রামিং:
লিনিয়ার প্রোগ্রামিং অপ্টিমাইজেশান সমস্যা নিয়ে কাজ করে যেখানে সীমাবদ্ধতা সাপেক্ষে প্রদত্ত উদ্দেশ্য ফাংশনের সর্বোচ্চ বা সর্বনিম্ন মান খুঁজে পেতে রৈখিক অসমতা ব্যবহার করা হয়।
সম্ভাবনা:
সম্ভাব্যতা হল ঘটনা ঘটার সম্ভাবনার অধ্যয়ন, এবং এতে র্যান্ডম পরীক্ষায় বিভিন্ন ফলাফলের সম্ভাবনা গণনা করা জড়িত।
ভেক্টর:
ভেক্টর হল গাণিতিক রাশি যার মাত্রা এবং দিক উভয়ই। এগুলি বিভিন্ন অ্যাপ্লিকেশনে ব্যবহৃত হয়, যেমন পদার্থবিদ্যা এবং প্রকৌশল।
ত্রিকোণমিতি:
ত্রিকোণমিতি হল ত্রিভুজ এবং তাদের কোণ এবং বাহুগুলির অধ্যয়ন। এতে ত্রিকোণমিতিক অনুপাত, ফাংশন এবং তাদের প্রয়োগ রয়েছে।
ত্রিমাত্রিক চিত্র - এলাকা এবং আয়তন:
এই বিষয়ের উপরিভাগের এলাকা এবং ত্রিমাত্রিক আকৃতির আয়তন যেমন ঘনক্ষেত্র, প্রিজম, পিরামিড, সিলিন্ডার এবং গোলক রয়েছে।
স্থানাঙ্ক জ্যামিতি:
স্থানাঙ্ক জ্যামিতি একটি সমতলে জ্যামিতিক আকার এবং বিন্দু, রেখা এবং বক্ররেখার মধ্যে সম্পর্ক অধ্যয়নের জন্য স্থানাঙ্কের ব্যবহার জড়িত।
পৃথিবীকে একটি গোলক হিসাবে বিবেচনা করে:
এই বিষয়টি পৃথিবীর গোলাকার প্রকৃতির উপর ফোকাস করে এবং অক্ষাংশ, দ্রাঘিমাংশ এবং বড় বৃত্তের মত ধারণাগুলিকে অন্তর্ভুক্ত করে।
বৃত্ত:
সার্কেল জ্যামিতি এবং সমন্বয় জ্যামিতিতে বৃত্তের বৈশিষ্ট্য এবং সমীকরণ এবং তাদের প্রয়োগের অধ্যয়ন জড়িত।
ক্রম এবং সিরিজ:
এই বিষয় পাটিগণিত এবং জ্যামিতিক ক্রম এবং সিরিজ, তাদের সূত্র, এবং যোগফলের গণনা কভার করে।
ফাংশন:
ফাংশনগুলি গাণিতিক সম্পর্কের অধ্যয়নকে জড়িত করে যা একটি সেটের প্রতিটি উপাদানকে অন্য সেটের একটি অনন্য উপাদানে বরাদ্দ করে।
পরিসংখ্যান:
পরিসংখ্যান হল তথ্য সংগ্রহ, সংগঠন, উপস্থাপনা, বিশ্লেষণ এবং জ্ঞাত সিদ্ধান্ত নেওয়ার জন্য ব্যাখ্যার অধ্যয়ন।
বহুপদী ফাংশনের ক্রিয়াকলাপ:
এই বিষয়টি বহুপদী ফাংশন, যেমন যোগ, বিয়োগ, গুণ এবং ভাগের সাথে জড়িত বিভিন্ন ক্রিয়াকলাপকে কভার করে।
হার এবং তারতম্য:
হার এবং বৈচিত্র পরিবর্তনের হার এবং প্রত্যক্ষ এবং বিপরীত পরিবর্তনের ধারণাটি অন্বেষণ করে।
সম্পর্ক:
সম্পর্ক দুটি সেট ডেটা বা ভেরিয়েবলের মধ্যে সংযোগের অধ্যয়নকে জড়িত করে।
সেট:
সেটগুলি উপাদানগুলির সংগ্রহ এবং তাদের ক্রিয়াকলাপ যেমন ইউনিয়ন, ছেদ এবং পরিপূরকগুলির অধ্যয়ন জড়িত।
ত্রিকোণমিতিক সারণী:
ত্রিকোণমিতিক সারণী বিভিন্ন কোণের জন্য ত্রিকোণমিতিক মানের একটি রেফারেন্স প্রদান করে।
পিথাগোরাস উপপাদ্য:
পিথাগোরাস উপপাদ্য একটি সমকোণী ত্রিভুজের বাহুর মধ্যে সম্পর্কের সাথে সম্পর্কিত।
জ্যামিতিক রূপান্তর:
জ্যামিতিক রূপান্তরগুলি জ্যামিতিক আকারে প্রয়োগ করা প্রতিফলন, ঘূর্ণন এবং অনুবাদের মতো বিভিন্ন রূপান্তরকে জড়িত করে।
সাদৃশ্য এবং প্রসারণ - সরল বহুভুজের একতা:
এই বিষয় জ্যামিতিক আকারের জন্য সাদৃশ্য, প্রসারণ, এবং একত্রিতার ধারণাগুলিকে কভার করে।
লগারিদম:
লগারিদমগুলি সূচক এবং লগারিদমের মধ্যে বিপরীত সম্পর্ক অধ্যয়নের সাথে জড়িত।
দ্বিঘাত সমীকরণ:
দ্বিঘাত সমীকরণ হল একটি দ্বিতীয়-ডিগ্রী বহুপদী সমীকরণ এবং এর সমাধান।
বীজগণিত - সূচক এবং র্যাডিকাল:
সূচক এবং র্যাডিকেল সংখ্যার শক্তি এবং মূল অধ্যয়নের সাথে জড়িত।
ইউনিট:
ইউনিটগুলি পরিমাপের বিভিন্ন একক এবং তাদের রূপান্তরগুলির অধ্যয়ন জড়িত।
অনুপাত, লাভ এবং ক্ষতি:
এই বিষয় অনুপাতের ধারণা এবং লাভ-ক্ষতির গণনায় তাদের প্রয়োগগুলিকে কভার করে।
অন্যান্য বিষয় হল:
পরিধি এবং এলাকা
আনুমানিক
বীজগণিত
স্থানাঙ্ক জ্যামিতি (1) এবং (2)
ভগ্নাংশ সংখ্যা
What's new in the latest 6.0.F
Mathematics O Level Notes APK Information
Mathematics O Level Notes এর পুরানো সংস্করণ
Mathematics O Level Notes 6.0.F
Mathematics O Level Notes 4.0.A
Mathematics O Level Notes 1.0.A
APKPure অ্যাপের মাধ্যমে অতি দ্রুত এবং নিরাপদ ডাউনলোড করা হচ্ছে
Android-এ XAPK/APK ফাইল ইনস্টল করতে এক-ক্লিক করুন!







